
の

個の任意のデータ点を通過する関数を考える.全てのデータ点を通る関数は,

次関数で記述できる.データ点が2つならば1次関数,3つならば2次関数のようにで
ある.諸君は,これまでの学習で2点から直線を,3点から2次関数を決めたりしているだ
ろう.図
1のように勝手に決めた10個の点から,9次関数を決めることもで
きる.なぜならば,

次関数
 |
(6) |
には

個の係数があり,それらの係数は

個の点により一意に決定できるからである.
前節では,どんな任意のデータでも冪乗の関数で表現できることを示した.データの数が
非常に多くなって,無限までになったらどうなるだろうか?.データの数が無限というの
は,データが連続するもの,すなわち関数と考えることができる.例えば,三角関数は無限
個の

のデータの集まりである.このようなデータに対しての先ほどの問いかけに
ついて,私は答えられない.しかし,直観あるいはコンピューターの助けを借りて,厳密
ではないにしても,実用上問題ない結果を得ることができる.
もし,ある関数が無限個のデータの集まりと考え,
と表すことができるとしよう.

は三角関数であったり,指数関数,あるいは対数関
数である.この式の左辺は,冪級数と呼ぶ.この式は,任意の関数を冪球数に展開して
いるのである.証明は数学の時間に任せるとして,任意の関数はこのように冪級数に展開
できる.
任意の関数
が式(7)のように冪級数に展開できるならば,そ
の係数
をどうやって決めるのか?--という問題がのこる.有限個の場合のように,
連立方程式から係数を計算することはできない.無限次元の連立方程式など
解けないからである.そこで,連続な関数という性質を使う.元の式(7),お
よびその両辺を繰り返し微分すると次の式が得られる.
これらの式で

とすると,右辺第2項より高次の項は全てゼロとなる.これを利用して,
式(
7)の展開係数は
と得られる.

とすると,最後の式である

が

を含めて一般的
に成り立つ.式(
7)を合わせて,
となる.これで,任意の関数を冪級数で展開する方法が分かった
2.このようにある関数を
冪球数で展開する方法をテイラー展開と言う.
式(14)は,不思議な式である.一般に,左辺の関数の定義域は
と広い.それに対して,右辺の冪級数は
の値のみできまる.無
限にひろがる関数が
のときの性質で決まる--という不思議なことになっている.
|
まとめ(テイラー展開)
- 任意の関数は,冪級数に展開--テイラー展開--できる.
|
先の説明では,どんな関数でも冪球数に展開できると言った.そこで,三角関数と指数関
数をテイラー展開
3してみよう.
式(14)の
を
とすると,
がえられる.いままで,三角関数は幾何学的な意味で使われてきた.幾何学的に考えた三
角関数の場合,任意の

での

の計算は大変難しい.それに対して,式
(
15)の右辺には幾何学的な意味はなく,解析的である.したがって,
どんな

に対しても

の計算が可能である.これは,まことに便利と言わざるを
得ない.
でも,本当かなー--という疑問が湧く者もいるだろう.正直,私も信じられない.この
ような時,私はコンピューターを使って確かめることが多い.式(15)
の右辺を
まで,展開の項数を変化さて
計算してみた.その結果を図2に示す.展開の項数が増加するごとに
を正確に表していることが分かるであろう.これで,テイラー展開は正しいと信じた.
同じことを
で行うと,次の結果が得られる.
指数関数
もテイラー展開できる.
これらの三角関数と指数関数のテイラー展開の式から,それぞれの関数の値を解析的に計
算ができるようになる.いままで,三角関数は幾何学的に,指数関数は乗算の延長??のよ
うに定義されていた.このような定義では,解析に値を計算することに困難をきたす.そ
れに代わり,このテイラー展開の式がそれぞれの関数の定義と考えると,計算が格段に簡
単になる.このように定義しても,いままで使ってきた三角関数や指数関数の性質は失わ
れない4.そこで,
これからは三角関数と指数関数の定義として,テイラー展開の結果を使う.
|
まとめ(三角関数と指数関数テイラー展開)
- 三角関数と指数関数は,次のようにテイラー展開できる.
|
図:
のテイラー展開.図中の整数は展開の次数を示す.
|
|
三角関数と指数関数のテイラー展開の式(
15)と(
16),
(
17)はよく似ている.若干異なるが,虚数単位

を使うとさらに似て
くる.かなり便宜的に思えるが,次のように書くことができる.
ますます,三角関数と指数関数が似てきた.これらより,
が得られる.これが,
オイラーの公式と呼ばれるものである.虚数を介して,三角
関数と指数関数がこんなにも簡単な式で結ばれているのである.これは便宜的に記述した
だけの式に見えるが,科学技術の問題を考えるときに極めて有用である.これを使うとや
やこしい計算をすること無く,様々な問題が解ける.諸君はできるだけオイラーの公式を
利用せよ.
オイラーの公式から,
と書くこともできる.
もともと,三角関数は幾何学的に定義された.それに対して,指数関数は解析的に定
義された.そして,虚数は方程式を解くために導入された.これら,勝手に定義されたも
のが,こんな単純な式で関係づけられるのは驚きである.
オイラーの公式を使うと,この節で示すように三角関数に関する公式が簡単に得られる.
この単純な方法を憶えておくと,後々,便利である.これだけでもオイラーの公式の御利
益が分かるだろう.

を使うと,三角関数の加法定理が得られ
る.オイラーの公式を使うと,指数関数の

は,
となる.両辺が等しいということは,実部と虚部が等しいということである.したがって,
が得られる.これは,三角関数の加法定理そのものである.

を使うと,2倍角や3倍角

の公式を得ることがで
きる.例えば,

とするとこの指数関数は,
となる.これもまた,実数部と虚数部の各々が等しいので,
を得る.これは倍角の公式である.同様の手順で,

と
3倍角の公式
が簡単に得られる.
式(
24)を使っても簡単に求められる.式
(
19)から計算することもできる.
同じことをすれば,余弦に関する公式
も得られる.
 |
(33) |
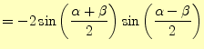
加法定理を上手に使えば,三角関数の和を積に変換する公式は得られる.次のようにして
計算することもできる.
積を和に変換する残りの公式
も同様に導くことができる.良い練習問題なので,諸君は自力で導いてみよ.
これは,ちょっと変わっていて,次のようにする.
ところで,この式の右辺は,次のように書くこともできる.
もちろん,式(
38)と(
39)の両式の右辺は等しい.したがっ
て,各々の実数部と虚数部が等しくなり,
が得られる.これは,三角関数の和を積に直す公式である.同様にして,

を
計算すると,もう一組の公式
が得られる.
ホームページ:
Yamamoto's laboratory著者:
山本昌志
Yamamoto Masashi
平成18年10月27日