今までの話は,静電磁場で時間的に何も変化しない場合を考えてきた.これからは,時間
的に電荷や電流が変する場合を考察する.電荷や電流が変化すると電磁場の変化するわけ
で,その関係を調べることになる.とはいえ,最終的には先の発散や回転の微分方程式に,
時間の項を含めるのだけである.
電荷は自然に発生したり消滅することはない--というのが実験事実である.このことは,
電荷の総量は時間的に変化しないと言っている.電子と陽電子が衝突して,光になっても,
総量は変化していない.この反応の場合,+eと-eが反応して電荷ゼロの光子ができるので,
電荷が消滅したと思うかもしれない.しかしながら,反応前の電荷の総量はゼロで反応後
もゼロであり,やはり総量は変化していない.このように電荷が消滅するときには,同じ
電荷量で符号が反対のものも同時に消滅するのである.これは電荷の発生の時も同じであ
る.
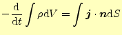
このようなことから,ある任意の体積中の電荷量が変化するためには,それはその体積を
囲んでいる壁を通して電荷の移動が起きなくてはならない.電荷の移動は電流そのもので
ある.したがって,ある任意の体積中の電荷の総量の変化は,その壁を通しての電流の流
れの積分に等しくなる.このことから,単位時間あたりの電荷の総量の変化は,壁を通し
て流れる電流の積分に等しくなる.いつものように,任意体積の外側に向かった法単位ベ
クトルを
とすると,これらの関係は
 |
(19) |
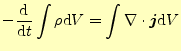
となる.この式の右辺にいつものようにガウスの定理を使うと,
 |
(20) |
が得られる.この積分が任意の領域で成り立つことと,電荷密度は場所と時間の関数であ
ることを考えると,
 |
(21) |
となる.これは電荷の保存則を微分方程式で表したものである.この微分方程式は,

と書き,連続の式とも呼ばれる.
静電場を表す4つの式
から始めることにする.静電磁場の場合,これらの式はまったく矛盾なく成立している.
電磁場も電荷も電流もいつでも一定で,場所だけの関数であり,電場および磁場がそれぞ
れ独立した場として存在している.電場

の源は電荷

である.磁場

の源は電流

である.この場合でも,先ほどの電荷の保存則は成り立つ必
要はあるが,時間微分の項はゼロとなるので,
 |
(26) |
が成立すれば良い.これに関係するのは,式(
25)だけで,矛盾なく
成り立っている.この式の両辺の発散を取ると,左辺は回転の発散で,これは恒等式でゼ
ロとなる
2.
これからは,電磁場と電流および電荷が時間的に変化する場合を考える.まずは,電荷の
保存則が成り立つ必要がある.もちろん,時間の変化をゼロとした場合には静電場の式を
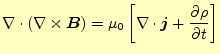
満足しなくてはならない.それでは,式(25)の両辺の発散を取って
みよう.この場合,左辺は恒等式でゼロで,右辺は
 |
(27) |
となる.今は

なので,電荷の保存則を満足しない.そこで,
仮に式(
25)の発散が
![$\displaystyle \div{\left(\nabla\times \boldsymbol{B}\right)}=\mu_0\left[\div{\b...
...ial \rho}{\partial t} \else \frac{\partial^{1} \rho}{\partial t^{1}}\fi \right]$](img76.png) |
(28) |
と書き換えたとする.そうすると,この式は電荷の保存則を満足する.これでも良いが,
さすがに式が複雑である.そこで,式(
22)の助けをかりて,少し式を書き
換えることを考える.少しばかり変形すると
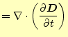
となる.

と

を利用すると,これは,
としても良いだろう.この式を導くとき式(
22)も変動する電磁場
でも正しいとした--ことは良いのだろうか?.これまでの議論ではその良し悪しは分から
ない.後での議論で矛盾がなく,さらに実験事実として正しいことを言わなくてはならな
い.結論を言うとこれは正しい.後の議論でも矛盾はないし,実験事実にも反しない.
式(30)は良さそうであるが,式(22)もまた,
電荷保存則を満足する必要がある.そこで,この式の時間微分を考える.時間微分を取り,
左辺と右辺を入れ替えると
となる.これは,電荷保存則そのものである.従って,式(
30)のよ
うにすると,式(
22)はそのままで電荷保存則を満足している.これ
でめでたし,めでたしである.
式(30)の追加された項,
は変位電流あるい
は電束電流と呼ばれ,天才マクスウェルが導入したのである.
ホームページ:
Yamamoto's laboratory著者:
山本昌志
Yamamoto Masashi
平成18年7月6日