3 静電磁場

静電磁場を拡張して,時間変動の項を取り扱うのが分かりやすくて良いだろう.そのため に静電磁場の復習をする.

静電場と静磁場はともにベクトル場である.ベクトル場を記述する微分方程式の完全な組は,その発 散と回転であることは以前に示したとおりである.そこで,電場 $ \boldsymbol{E}$と磁場 $ \boldsymbol{B}$ の発散と回転を示すことにする.

3.1 静電場の場合

2つの電荷があるとそれぞれは力を及ぼしあい,その力について述べたものがクーロンの 法則である.図1のように2つの電荷がある場合,$ q_1$の電荷が $ q_2$に及ぼす力 $ \boldsymbol{F}_{2}$は,

$\displaystyle \boldsymbol{F}_{2}=\frac{1}{4\pi\varepsilon_0} \frac{q_1q_2(\boldsymbol{r}_2-\boldsymbol{r}_1)}{\vert\boldsymbol{r}_2-\boldsymbol{r}_1\vert^3}$ (3)

となる.これがクーロンの法則で,それは, と言っているのである.これから,直ちに作用・反作用の法則が成り立っていることが分 かる.
図 1: クーロン力
\includegraphics[keepaspectratio, scale=1.0]{figure/Coulomb_law.eps}

これが静電場のすべてで,どんな問題でもこれを計算すれば原理的に解ける.宇宙全体の 電荷をすべて計算すればよいのであるが,それは実際的でない.そのため,いろいろと数 学的な工夫がなされた.ただ,数学的に式を変形したと思ってはならない.かなり重要な 概念が導入されることになる.

導入された概念のうち最も重要なものは,場の概念である.このクーロンの法則から静電 場と言うものが考えられる.電荷が静電場を作り,その静電場が電荷に力の作用を及ぼす のである.先のクーロンの法則から,電荷$ q_1$ $ \boldsymbol{r_2}$の位置に$ E_2$と言う電場を 作るのである.この電場が電荷$ q_2$に作用して, $ \boldsymbol{F}_{2}$という力を及ぼすのであ る.これは,

  $\displaystyle \boldsymbol{E}_2=\frac{1}{4\pi\varepsilon_0} \frac{q_1(\boldsymbol{r}_2-\boldsymbol{r}_1)}{\vert\boldsymbol{r}_2-\boldsymbol{r}_1\vert^3}$ (4)
  $\displaystyle \boldsymbol{F}_{2}=q_2\boldsymbol{E}_2$ (5)

と書くことができる.これらの式は,式(3)とまったく同じと思える かもしれない.しかし,決定的に異なることがある.式(3)は遠隔力 で,何もない空間を通して力が2つの電荷間にに作用している.一方,式 (4)や式(5)は近接作用となっており,電荷は場を変化させて, その場の変化が力を生み出していると考える.

電場求めることが静電場の中心的な問題となる.これが分かれば全ての静電場の性質が分 かるからである. $ \boldsymbol{r}^\prime$の位置にある電荷$ q$ $ \boldsymbol{r}$の位置につくる電場 $ \boldsymbol{E}$を求める.これは式(4)から,直ち に

$\displaystyle \boldsymbol{E}=\frac{1}{4\pi\varepsilon_0}\frac{q(\boldsymbol{r}-\boldsymbol{r}^\prime)}{\vert\boldsymbol{r}-\boldsymbol{r}^\prime\vert^3}$ (6)

と得られる.この様子を図2にしめす.
図 2: 電荷が作る電場
\includegraphics[keepaspectratio, scale=1.0]{figure/E_by_q.eps}

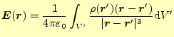
電荷が電荷密度 $ \rho\,\mathrm{[C/m^3]}$で連続的に分布する場合,位置 $ \boldsymbol{r}$での電場 は,式(6)より

$\displaystyle \boldsymbol{E}(\boldsymbol{r})=\frac{1}{4\pi\varepsilon_0} \int_{...
...}^\prime)}{\vert\boldsymbol{r}-\boldsymbol{r}^\prime\vert^3} \mathrm{d}V^\prime$ (7)

となる. $ \rho(\boldsymbol{r}^\prime)$は, $ \boldsymbol{r}^\prime$での電荷密度と言う意味である.こ こでの電荷密度は, $ \boldsymbol{r}^\prime$の関数であって $ \boldsymbol{r}$の関数ではない.これに注 意して,ベクトル解析の知識を使うと,

$\displaystyle \boldsymbol{E}(\boldsymbol{r})=-\frac{1}{4\pi\varepsilon_0} \int_...
...bla \frac{1}{\vert\boldsymbol{r}-\boldsymbol{r}^\prime\vert} \mathrm{d}V^\prime$ (8)

となることが分かる.ここで,積分の変数は $ \boldsymbol{r}^\prime$であるが, 勾配$ \nabla$ $ \boldsymbol{r}$を変数とする.この変数の違いには注意が必要である.

式(8)の両辺の発散を計算する.

$\displaystyle \div{\boldsymbol{E}(\boldsymbol{r})}$ $\displaystyle =-\frac{1}{4\pi\varepsilon_0} \int_{V^\prime} \rho(\boldsymbol{r}...
...bla \frac{1}{\vert\boldsymbol{r}-\boldsymbol{r}^\prime\vert} \mathrm{d}V^\prime$    
  $\displaystyle =-\frac{1}{4\pi\varepsilon_0}\int_{V^\prime} \rho(\boldsymbol{r}^...
...^2{\frac{1}{\vert\boldsymbol{r}-\boldsymbol{r}^\prime\vert}} \mathrm{d}V^\prime$    
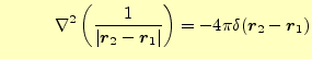
  $\displaystyle \quad\qquad\nabla^2\left(\frac{1}{\vert\boldsymbol{r}_2-\boldsymbol{r}_1\vert}\right)=-4\pi\delta(\boldsymbol{r}_2-\boldsymbol{r}_1)$より ($ \delta$関数のプリントを見よ)    
  $\displaystyle =-\frac{1}{4\pi\varepsilon_0}\int_{V^\prime} \rho(\boldsymbol{r}^...
...t\{-4\pi\delta(\boldsymbol{r}-\boldsymbol{r}^\prime)\right\} \mathrm{d}V^\prime$    
  $\displaystyle =\frac{1}{\varepsilon_0}\int_{V^\prime} \rho(\boldsymbol{r}^\prime)\delta(\boldsymbol{r}-\boldsymbol{r}^\prime) \mathrm{d}V^\prime$    
  $\displaystyle =\frac{\rho(\boldsymbol{r})}{\varepsilon_0}$ (9)

これで,電場の発散が計算できた.当然,この式の座標変数は $ \boldsymbol{r}$のみなので,

$\displaystyle \div{\boldsymbol{E}}=\frac{\rho}{\varepsilon_0}$ (10)

と書いてもよい. $ \boldsymbol{r}^\prime$がないので,間違えることはない.この式を微分形の ガウスの法則と言う.

ベクトル場の微分方程式の片割れが分かった.残りは,回転である.先ほど,同様に一般 化されたクーロンの法則の式(8)の両辺の回転を計算する. 式(8)の両辺の発散を計算すると次のようになる.

$\displaystyle \nabla\times \boldsymbol{E}(\boldsymbol{r})$ $\displaystyle =-\frac{1}{4\pi\varepsilon_0} \int_{V^\prime} \rho(\boldsymbol{r}...
...bla \frac{1}{\vert\boldsymbol{r}-\boldsymbol{r}^\prime\vert} \mathrm{d}V^\prime$    
  ベクトル恒等式 $ \nabla\times \nabla \phi =0$より    
  $\displaystyle =0$ (11)

これで,電場の回転が求まった.電場の回転はゼロである.

以上をまとめると,電場を表す微分方程式は,

  $\displaystyle \div{\boldsymbol{E}}=\frac{\rho}{\varepsilon_0}$   $\displaystyle \nabla\times \boldsymbol{E}=0$   (12)

と書ける.

3.2 静磁場の場合

つぎに静磁場 $ \boldsymbol{B}$を考える.静電場の場合,電場を作るものは電荷であった.それに 対して,静磁場の場合の磁荷というものは発見されていない.従って,磁場の発散はつね にゼロである.

$\displaystyle \div{\boldsymbol{B}}=0$ (13)

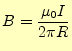
実際に磁場を作るものは電流である.1本の無限に長い直線電流 $ \boldsymbol{I}$が作る磁場は,

$\displaystyle B=\frac{\mu_0I}{2\pi R}$ (14)

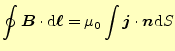
となる.磁場は半径に比例するため,電流を内部に含む閉じた曲線の線積分は

$\displaystyle \oint\boldsymbol{B}\cdot\mathrm{d}\boldsymbol{\ell}=\mu_0 I$ (15)

となることは以前述べたとおりである.ここの電流$ I$は積分路の内側である.これが連 続的に,密度 $ \boldsymbol{j}$で分布していると考えると,

$\displaystyle \oint\boldsymbol{B}\cdot\mathrm{d}\boldsymbol{\ell}=\mu_0\int\boldsymbol{j}\cdot\boldsymbol{n}\mathrm{d}S$ (16)

となる.ここで,ストークスの定理, $ \oint
\boldsymbol{A}\cdot\mathrm{d}\boldsymbol{\ell}=\int\nabla\times \boldsymbol{A}\cdot\boldsymbol{n}\mathrm{d}S$の出番である.これ を式(16)の左辺に適用する.すると両辺とも面積分になる.この面積分 は任意の領域で成り立つ.したがって,両辺の被積分関数は等しくなくてはならない.す なわち,

$\displaystyle \nabla\times \boldsymbol{B}=\mu_0\boldsymbol{j}$ (17)

である.これで,無限に長い直線電流がつくる磁場,正確には磁束密度の回転が得られた. これは直線電流に限らず,くねくねまがる電流でも成り立つ.

以上の結果をまとめると,磁場が満たす方程式は,

  $\displaystyle \div{\boldsymbol{B}}=0$   $\displaystyle \nabla\times \boldsymbol{B}=\mu_0\boldsymbol{j}$   (18)

となる.

静磁場の微分方程式の導出は静電場に比べて,汚い.静電場の方は教科書から離れて少し 理論的に示した.それに対して,静磁場は教科書のとおりとしている.静磁場の方も静電 場同様に美しく導き出すことも可能である.ビオ-サバールの法則を出発点として,ベク トル解析とデルタ関数を上手に使う方法である.思い出してほしい,静電場ではクーロン の法則を出発点として,ベクトル解析とデルタ関数を使って,場の方程式を示した.

デルタ関数を使うと直観に頼らなくて済む分,すっきりとした理論展開ができる.しかし, 物理的なイメージがわかり難くなる弊害がある.両方を教えるべきと思うが,大変多くの 時間が必要となる.


ホームページ: Yamamoto's laboratory
著者: 山本昌志
Yamamoto Masashi
平成18年7月6日


no counter