微分方程式や偏微分方程式を解き,値--ここでは弦の振幅--を求める場合,次のような境界条件や
初期条件が必要となる.
14pt
- すなわち問題を解く場合の境界--定義域の端のこと--で値を指定すること
がある.この指定した値のことを境界条件という.
- 時刻
の時に課す値のことを,初期条件という.むろん,条件を課す時刻はい
つでもよいが,一般には計算に都合の良い
を選ぶ.
方程式で求める量--ここでは振幅--が,条件として与えられることもあるが,その微
分の値が条件になることもある.もっと複雑な場合もある.
教科書では,このプリントで述べる初期条件と境界条件を合わせて,境界条件と記述して
いる.しかし,電気の業界では,境界条件と初期条件は区別している.この講義は「電気
数学」なので,これらは区別する.
ここでは,これらの境界条件から,式(13)の
と
を決める方
法をしめす.これらの係数を決定することにより,弦の振動が完全にきまる.
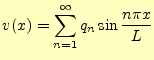
弦の振動の境界条件は,
| |
 |
|
 |
|
(14) |
である.物理的には,弦の両端を固定している--ことに対応している.すでに,この条
件は式(
13)に含まれている.空間に関する波動方程式の解のうち

の項のみを選んだ過程を思い出せ.
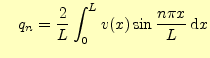
式(
13)の

と

は,時刻

の弦の形と速度分布より決めること
ができる.

のときの形と速度を
とする.この様子を図
2と
3に示
す.これらを
初期条件という.初期の弦の形

と速度分布

は問題として
与えられるので既知である.偏微分方程式(
1)は,初期条件以降の弦の運
動を表す.
偏微分方程式の解である式(13)が初期条件を満足するように
と
を決めれば,波動方程式が完全に解けたことになる.それらの値は,初期条件と比
較することにより決めることができる.式(13)の
の弦の形と速
度は,
となる
2.
解の式から求めたこれらは,初期条件である式
(15)と(16)に等しい.だから,
となる.この式から,既知である

と

を使い

と

を決めれば,全て解
けたことになる.問題は,この式から

と

を決めることである.
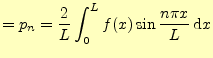
ここで,
と
を求める前に,
と
の性質を考える.
や
の
定義域は
である.したがって,
や
はフーリエ級数,フーリエ正弦
級数,フーリエ余弦級数などで展開できる.また,
と
で弦は固定されているので,
 |
(21) |
 |
(22) |
となる.これらのことから,

と

はフーリエ正弦級数で展開する--ことが望
ましい.係数の収束も早いし,式(
19)や
(
20)との対応も良い.すなわち
である.
これらの式を,式(19)や(20)に代入すると
となる.したがって,
| |
 |
|
 |
|
(27) |
である.これから,
と

と

を求めることができる.これで,波動方程式が境界条件や初期条件の元,
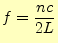
完全に解けたことになる.解は,次のように書くことができる.
鉄でできたギターの弦でラの音を出すことを考える.弦の長さを0.6[

]直径は
0.5[

]とする.鉄の密度は7.8[

]なので,線密度

[

]となる.
音の高低は,弦の張力で調整できる.音の振動数
を表す式は,式
(30)より,
 |
(31) |
となる.基本波(

)を考えると,波の速度を

になるように調整すれば良い.波
の速度は,
 |
(32) |
である.したがって,必要な張力は,
 |
(33) |
となる.先ほどのギターの弦の長さと線密度で,ドの音(440Hz)を出すためには,
必要な張力は

[

]となる.
先ほどの状態のギターの弦を実際に振動させてみよう.どのように振動するであろうか?
弦の初期状態を図
4のようにする.弦の中央をゆっくりとつま
んで,そして離す.
式(30)の
と
を決めれば,弦の振動は確定する.そのた
めに初期条件を考えよう.
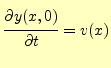
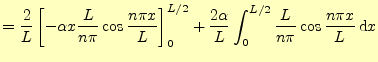
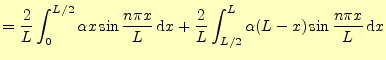
の時,弦の速度はどこでもゼロなので,
である.
したがって,式(24)より,
 |
(34) |
となる.残りの

は,式(
23)を用いて計算する.弦の初期状態は
 |
(35) |
と書くことができる.ここで,

は弦の傾き,

は弦の長さである.これから,

は,式(
23)を使うと次のように計算できる.
なので,弦の振動は,
 |
(37) |
となる.

の項は

が偶数の場合ゼロとなる.したがって,

は奇数のみ
を加算すればよい.すると,
となる.これが,最初の図
4の状態の弦の振動を表す式である.
これを弦の条件
を代入するとドの音がでる.位相が30度ごとの弦の状態を図
5〜
10にしめす.想像もつかないような弦の形になる.なぜ,このようなこ
とが生じるか,物理的な理由を考えてみよ.
ホームページ:
Yamamoto's laboratory著者:
山本昌志
Yamamoto Masashi
平成19年2月22日