図
1に示すように

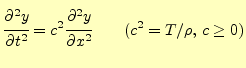
軸と垂直な弦の振動の方程式を考える.

軸か
らの弦の変位を

とする.場所

と時刻

を決めたら弦の変位が決まるので,変
位は

と表すことができる.弦の変位は

は,弦の長さ

に比べて十分小
さい場合,次の偏微分方程式が成り立つ.
これを波動方程式と言う.
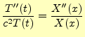
波動方程式(
1)--偏微分方程式のひとつ--の解を,
とそれぞれの変数の関数の積の形になると仮定する.これを変数分離形と言う.この仮定
した解を元の偏微分方程式に代入する.すると,
 |
(3) |
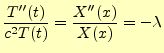
が得られる.これは,
 |
(4) |
となる.この左辺は時刻

のみの関数で,右辺は場所

のみの関数である.これが等し
いということは,両辺の値は定数でなくてはならない.この定数を

とすると,
 |
(5) |
となる.これを整理すると,
という連立常微分方程式になる.弦の振動の場合,図
1に示すように
弦の両端で固定されている.固定されている部分では,弦の変位

はゼロである.
したがって,
| |
 |
|
 |
|
(8) |
である.この条件--境界条件--を満たすことができるのは,
である.時刻の項の常微分方程式(
7)は,
 |
(10) |
となる.

は正の実数であるので,一般解は
となる.空間および時刻の常微分方程式から得られた解を元の仮定した解
(
2)に代入すると
 |
(12) |
となる.元の波動方程式は線形なので,重ね合わせの原理が成り立つ.すなわち,解は
と書き表すことができる.
本日は,波動方程式(
1)のに初期条件を組み込む方法を学習する.教科書
[
1]では,p.250-251の範囲である.ただし,教科書では初期条件とは言
わないで境界条件としている.同じことではあるが,電気の習慣に従うことにする.本日
のゴールは,次のとおりとする.
- 初期条件や境界条件の意味が分かる.
- 微分方程式の一般解に,初期条件や境界条件を取り込む方法が分かる.
具体的には,波動方程式の解である式(
13)の

や

の値を決め
る.
ホームページ:
Yamamoto's laboratory著者:
山本昌志
Yamamoto Masashi
平成19年2月22日