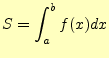
定積分、
 |
(3) |
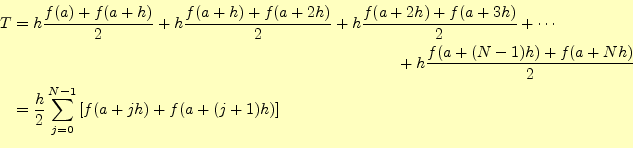
の近似値を数値計算で求めることを考える。積分の計算は、先に示し
たように面積の計算であるから、図2のように台形
の面積の和で近似ができるであろう。積分の範囲
を
等分した台形で
近似した面積Tは、
となる。これが数値積分の台形公式である。なんのことはない、積分を台形の
面積に置き換えているだけである。
台形公式による数値積分では、分割数
を大きくするとその誤差は小さくな
ることは直感で分かる。それでは、分割数を増やしていくとどのように精度が
良くなるのか考えてみよう。
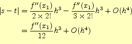
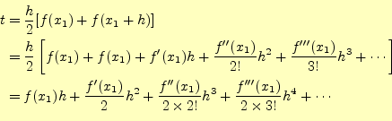
まずは、式4のある一つの台形の面積と実際の積分の値を比
較する。台形の面積
は、台形公式より、
となる。これを実際の積分
と比較することにする。これら2つの式の形がぜんぜん違うので比較できない
と考えるかもしれないが、このような場合の常套手段がある。このようなとき
には、テーラー展開をすれば良いのである。式(5)を
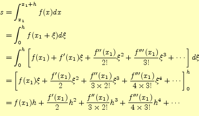
の周りで、テイラー展開すると
となる。これが台形の面積のテイラー展開である。一方、積分の式(6)もテイラー展開する。これは、
となる。この2つの式(7)と(
8)が台形での近似とまっとうに積
分を行ったときのテイラー展開を表す。これらの式を比べると、刻み巾
の2
次まで一致している。異なるのは3次以降で、積分の誤差は、
と表せる。
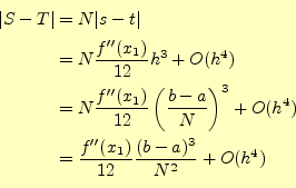
これは、一つの台形近似の積分の誤差で、全てトータルの誤差は、
となる。要するに積分の誤差は、分割数
に反比例する。分割数を10倍に
すれば、積分の誤差は1/100になるわけである。
ホームページ: Yamamoto's laboratory
著者: 山本昌志
Yamamoto Masashi
平成19年8月21日