台形公式の考え方は簡単であるが、精度はあまりよくない。そこで、よく似た
考え方で精度が良いシンプソンの公式を説明する。台形公式は、分割点の値を
一次関数(直線)で近似を行い積分を行った。要するに折れ線近似である。ここ
で、1次関数ではなく、高次の関数で近似を行えばより精度が上がることは、
直感的に分かる。
2次関数で近似を行うことを考える。2次関数で近似するためには、3点必要で
ある。3つの分点をそれぞれ、
とする。そして、
この2次関数を
とする。
はラグランジュ補間に他ならないので、
となる。図3に示すとおりである。
図 3:
元の関数を区間
を2次関数で近似する
|
|
これを、区間
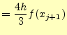
で積分する。紙面の都合上、式
(11)の右辺を各項毎に積分を行う。まず、右
辺第1項であるが、それは以下のようになる。
同様に、第2,3項を計算すると
| 式(11)右辺第2項の積分 |
 |
(12) |
| 式(11)右辺第3項の積分 |
 |
(13) |
となる。以上より、近似した2次関数
の範囲
の積分は、
となる。
これは、ある区間
の積分で、その巾は
である。区間
にわたっての積分
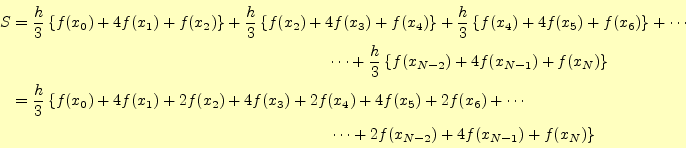
は、式(15)を足し合わせれ
ばよい。ただし、
と足し合わせる。
これが、シンプソンの公式と呼ばれるもので、先ほどの台形公式よりも精度が
良い。精度は、
に反比例する。
この式から、分割数
は偶数でなくてはならないことがわかる。これに注意
して、プログラムを作成しよう。
ホームページ: Yamamoto's laboratory
著者: 山本昌志
Yamamoto Masashi
平成19年8月21日