4 クーロンの法則

4.1 クーロン力とその大きさ

電磁気学の最初の学習はクーロンの法則から始めることが多い.教科書に沿って,ここで もそれから始める.図1に示すように2つの電荷の 間に働く力の関係を表すのが発見者の名前を付けてクーロンの法則という.教科書では, それを

$\displaystyle F=\frac{1}{4\pi\varepsilon_0}\frac{qQ}{R^2}$ (4)

と書いている3.ここで,$ F$は力(単位は[N]),$ Q$$ q$力が作用する2つの電荷量(単位は [C]),$ R$は電荷間の距離(単位は[m])である.そして, $ 4\pi\varepsilon_0$は比例定数 で,$ 4\pi$がつくのは後で式を簡単にするためである. $ \varepsilon_0$は,真空中の誘 電率で $ 8.85418782$[F/m]である.力の方向は,電荷の積が負の場合引力,正の場合斥力 となる.

この力と重力の大きさを比べてみよう.2つの電子間に働く力の比は

$\displaystyle \frac{F_e}{F_g}$ $\displaystyle =\frac{\frac{1}{4\pi\varepsilon_0}\frac{e^2}{R^2}}{G\frac{m_e^2}{R^2}}$    
  $\displaystyle =\frac{1}{4\pi\varepsilon_0G}\left(\frac{e}{m_e}\right)^2$    
  $\displaystyle =\frac{1}{4\times 3.1415 \times 8.85 \times 10^{-12} \times 6.67 \times 10^{-11}} \left(\frac{1.60 \times 10^{-19}}{9.11 \times 10^{-31}}\right)^2$    
  $\displaystyle =4.1 \times 10^{42}$ (5)

となり,電気的なクーロン力の方が$ 10^{42}$倍も大きいのである.このことについて, ファインマンは,次のように述べている [1].
全ての物質は正の陽子と負の電子電子との混合体で,この強い力で引き合い反発しあっ ている.しかしバランスは非常に完全に保たれているので,あなたが他の人の近くに立っ ても力を感じることは全くない.ほんのちょっとでもバランスの狂いがあれば,すぐに 分かるはずである.人体の中の電子が陽子より1パーセント多いとすると,あ なたがある人から腕の長さのところに立つとき,信じられない位強い力で反発するはず である.どの位の強さだろう.エンパイア・ステート・ビルを持ち上げるくらいだろう か.エベレストを持ち上げるくらいだろうか.それどころではない.反発力は地球全体 の重さを持ち上げるくらい強い.
この非常に強い力により,物質全体は中性になる.そうでないと,物質はバラバラになってし まう.また,物質を電子や原子のオーダーで見ると,電荷の偏りがあり,そこではこのクー ロン力が働く.この強い力により,原子が集合して,固い物質が形作られるのである.

そうなると,電子が原子核に落ち込んでしまうのではないか--という疑問が湧く.実際 にはそのようなことは起きていない.この現象は不確定性原理から説明がつく.仮りに, 電子が原子核に衝突するくらい狭いところに近づいたとする.そうなると,位置が正確に 分かるので,運動量の不確定性が増す.したがって,電子はとても大きな運動量を持つこ とになる.すると,遠心力が大きくなり,原子核から離れようとする.近づこうとすると 大きな運動量を持つことになり,遠心力が働き近づけなくなるのである.

大きなクーロン力により,原子核がバラバラにならないのか--という疑問も湧く.例え ばウラン235の原子核は,92個の陽子と143個の中性子からできている.その半径は,大体 $ 7\times 10^{-15}\mathrm{[m]}$である.この狭い中に,正の電荷をもつ92個の陽子が,クー ロン力に抗して押し込められているのである.クーロン力によりバラバラにならない理由 は,強い力が作用しているためである.この強い力により,原子核ができあがっている.

最初に述べたように,強い力の範囲は $ 10^{-15}\mathrm{[m]}$程度である.したがって, ウランより大きな原子核を作ることは難しくなる.そのため,ウランより大きな原子番号 をもつ元素は自然では,存在しない.

ほとんどの元素の原子核では,クーロン力よりも強い力の方が圧倒的に大きい.そのため, 原子核は極めて安定となる.一方,ウラン235の場合,両者の力の大きさの差は小さく, 強い力の方がちょっとだけ大きい.そのため,他の物質に比べるとウラン235の原子核は 不安定となる.ちょっと刺激を与えると,原子核はバラバラになってしまう.原子核に中 性子をぶつけることにより,刺激を与えることができる.ウラン235原子核に中性子をぶ つけるのが原子爆弾であり,原子力発電である.バラバラになった原子核は,クーロン力 により,とても高速に加速される.そのため,大きなエネルギー持ち,最終的には熱に変 わるのである.原子力といえども,そのエネルギーの源は電磁気力である.

図 1: クーロン力
\includegraphics[keepaspectratio, scale=1.0]{figure/Coulomb_low.eps}

4.2 ベクトルを使った表現

式(4)では,クーロンの法則をスカラー量で記述し ている.左辺の力は,ベクトル量のはずである.そうすると,右辺もベクトルにする必要 がある.式(4)を見直すと,それは力の大きさしか 述べてないことが分かる.クーロンの法則を正確に述べると, である.したがって,式(4)はクーロンの法則の半 分しか述べていないのである.この2つのことを,一度に表現するために,ベクトルを 使う方が適切である4.クーロンの法則は

$\displaystyle \boldsymbol{F}_{12}=\frac{1}{4\pi\varepsilon_0}\frac{Q_1Q_2}{\ver...
...boldsymbol{r}_2-\boldsymbol{r}_1)}{\vert\boldsymbol{r}_2-\boldsymbol{r}_1\vert}$ (6)

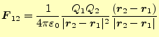
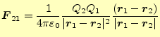
と書くべきであろう.ここで, $ \boldsymbol{F}_{12}$は,電荷量$ Q_1$の物体が電荷量$ Q_2$の物 体に及ぼす力である.位置ベクトルのと力の関係は,図 2のとおりである.この式が言っていることは,「力の 大きさは距離の2乗に反比例し,電荷の積に比例する」と「力の方向は,ふたつの物 体の直線上を向いており,電荷の積が負のとき引力,正のとき斥力となる」である.

言葉で述べると複雑な現象が,ベクトルを用いると式 (6)のように簡単に書ける.ベクトル解析は,まことに 便利である.

クーロンの法則について,次のことについて考察してみよう.

図 2: クーロン力.ベクトルを使った表現
\includegraphics[keepaspectratio, scale=1.0]{figure/Coulomb_low_vector.eps}

4.3 作用・反作用の法則

自然界の力は,必ず作用・反作用の法則 が成り立っている.これが成立しないと,エネルギー保存側--正確には運動量保存則と 角運動量保存則--が破れることになり,永久機関ができてしまう.

クーロンの法則も,この作用・反作用の法則が成り立っていることを示す.電荷量$ Q_1$ の物体がが電荷量$ Q_2$の物体に及ぼす力 $ \boldsymbol{F}_{12}$は,式 (6)のとおりである.逆に,電荷量$ Q_2$の物体がが電 荷量$ Q_1$の物体に及ぼす力 $ \boldsymbol{F}_{21}$はどうなっているだろうか?.$ Q2$の物体につ いてもクーロンの法則が成り立つはずであるから,この力を求めるためには式 (6)の添え字の1と2を入れ替えればよい.

$\displaystyle \boldsymbol{F}_{21}=\frac{1}{4\pi\varepsilon_0}\frac{Q_2Q_1}{\ver...
...boldsymbol{r}_1-\boldsymbol{r}_2)}{\vert\boldsymbol{r}_1-\boldsymbol{r}_2\vert}$ (7)

式(6)と式(7)を比べると,

$\displaystyle \boldsymbol{F}_{21}=-\boldsymbol{F}_{12}$ (8)

の関係があることが分かる.この式は,2つの電荷に働く力の大きさが等しく,向きが反 対であると言っている.そして,これらの力は一直線上にある.これは,作用・反作用の 法則と呼ばれるものである.クーロンの法則も作用・反作用の法則が成り立っている.
図 3: 作用・反作用の法則
\includegraphics[keepaspectratio, scale=1.0]{figure/action_reaction.eps}

4.4 おまけ

クーロンの法則の発見の歴史的経緯はおもしろい5.まず最初の登場人物は,ジョセフ・プリーストリーと,あのベン ジャミン・フランクリンである.プリーストリーは,フランクリンにに示唆されて実験を 行い,中空の物体を帯電させて,その内側では電気的な作用が無いことを発見した.重力 の場合との類推で,電気的な力が距離の逆2乗で伝わると実験結果の意味を考えた.これ と同じ原理で6,1772年にキャベンディッシュは巧妙な実験を行い,かな りの精度で逆2乗が成り立つことを発見した.変人キャベンディッシュは,その結果を公 表しなかった.そのため,最後にクーロンが登場することになる.クーロンは,1785年に ねじれ秤を使った実験により,力の逆2乗の法則を発見し発表した.そして,それ以降, クーロンの法則と呼ばれるようになった.

キャベンディッシュの実験は非常に巧妙で,クーロンのものよりも精度はかなり高かった ようである.その実験は,今で言うノーベル賞級の発見ではあるが,彼はそれを公表しな かった.その発見の価値も知っていたにも関わらずである.ということで,物理学者中の 変人ナンバーワンとしても良いだろう.

その後,キャベンディッシュは,ねじれ秤を使って,1789年に万有引力定数を測定してい る7.ここでは,クーロンのねじれ秤を使っている ことが,面白い.


ホームページ: Yamamoto's laboratory
著者: 山本昌志
Yamamoto Masashi
平成18年5月26日


no counter