回転についても,発散と全く同じように議論を進める.回転のイメージを持つためには,
流体を考えるのが良いであろう.非圧縮性流体の速度場を考える.速度なのでこれは,ベ
クトル場である.それが回転しているか否かを考えることにする.速度場のベクトルを
で表し,回転
を
と定義する.この積分は図10のように,ベクトル場を線積分する.ぐるっ
と一周して,そこの値がゼロとなっていれば回転が無いというのは,直感的には理解でき
る.閉じた紐を流れのある流体に入れて,それが回転するか否か--を言っているのでる.
この積分は,図11のように,2つに分割しても値は変わらない.
 |
(27) |
で積分するときの経路と
と
で積分するときの経路で異なるのは,分割線の
部分である.ここでは,
と
のベクトル場は同じで,積分の方向が反対である.
それ故.足しあわせるとキャンセルされる.図12のように分割をもっともっと多くしても,
同じことが成り立つ.
 |
(28) |
発散の時と同様に,無限に多くの分割を行い,それぞれの積分経路の面積をゼロにした極
限を考える.すると,
となる.
ここで,積分内の
を考える.これは,
の向きに応じて値が異なることは,容易に分かる.流れの
ある流体内部に小さい輪っかを入れた場合,その輪の向きにより,回転数は変わる.その
ことから,この極限操作を伴う量はベクトルの成分であることが想像できる.ここでは,
時間の都合からベクトルであることの証明は行わないが,ベクトルになっている.その方向は,
経路を右ねじにする向きである.
従って,
と定義する量を考えることができる.ここで
は,この積分を行う領域の面の法線
方向の単位ベクトルで,積分領域の右ねじの向きとする.右辺はスカラー量なので,
は回転と呼ばれるベクトル量である.
先週示した
という微分がいきなり現れているが,この右辺と等し
いことは後で示す.式(30)の右辺が回転と呼ばれるベクトル量で,ベクトル場の
微分を表す.これが微分になっていることの感触は,式(1)から汲み取ってほしい.
この回転を用いると
 |
(31) |
となる.式(26)と比べると,
 |
(32) |
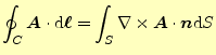
である.これをストークスの定理という.これは,「回転と言われる微分の面積分は,そ
の面の縁の線積分に等しいと言っている.式(2)のように,微分した
ものの積分の値は端--ここでは縁--で決まるのである.
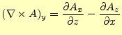
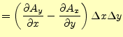
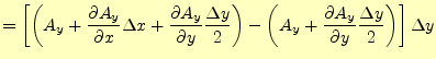
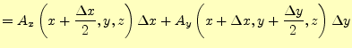
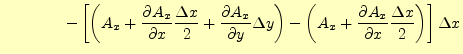
回転は,式(30)で定義されるベクトル場の微分である.これをカーテシ
アン座標系で考える.ここに,ベクトル場
があったとし,それが
の関
数であったとする.これをある
平面で見ると,図13のよ
うになる.この面の微小領域の回転を考えよう.それは,
となる.従って,
の回転は,式
(30)より,
同様に,
や
方向の回転を求めると,
| |
 |
|
 |
|
(35) |
となる.
これは,先週示した式と同じである.また,円柱座標系や極座標系については,
私のweb ページ
を見よ.
数式がごちゃごちゃ並んだので,発散の意味がぼやけてきたと思う.流れのある場での回
転を計る機械を考える.図14のような機械で回転を計測することがで
きる.単位時間あたりの回転数を,羽車の長さで割れば,回転計の軸の方向が回転
(
)の成分となる.場の回転--ベクトル量--の方向と大きさを知りたければ,
回転系の軸を回して,最大の回転スピードになるところを捜す.
ホームページ: Yamamoto's laboratory
著者: 山本昌志
Yamamoto Masashi
平成19年10月10日