8 ラプラス演算子

8.1 スカラーラプラス演算子

式(36)の$ \nabla^2$を考える.これは,

$\displaystyle \nabla^2\phi$ $\displaystyle =\nabla\cdot(\nabla \phi)$    
  $\displaystyle =\left( \if 11 \frac{\partial }{\partial x} \else \frac{\partial^...
...ial \phi}{\partial z} \else \frac{\partial^{1} \phi}{\partial z^{1}}\fi \right)$    
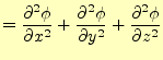
  $\displaystyle = \if 12 \frac{\partial \phi}{\partial x} \else \frac{\partial^{2...
...ac{\partial \phi}{\partial z} \else \frac{\partial^{2} \phi}{\partial z^{2}}\fi$    
  $\displaystyle =\left( \if 12 \frac{\partial \phi}{\partial x} \else \frac{\part...
...\phi}{\partial z} \else \frac{\partial^{2} \phi}{\partial z^{2}}\fi \right)\phi$ (43)

となる.したがって,演算子$ \nabla^2$

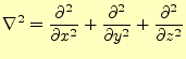
$\displaystyle \nabla^2= \if 12 \frac{\partial }{\partial x} \else \frac{\partia...
...f 12 \frac{\partial }{\partial z} \else \frac{\partial^{2} }{\partial z^{2}}\fi$ (44)

である.この新しい演算子をラプラス演算子(ラプラシアン)と言う.$ \nabla^2$の 代わりに$ \Delta$と書くこともある.

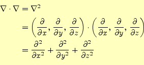
これは,あたかもベクトル演算子同士の内積をとった結果,

\begin{equation*}\begin{aligned}\nabla\cdot\nabla &=\nabla^2\\ &=\left( \frac{\p...
...l^2}{\partial y^2}+ \frac{\partial^2}{\partial z^2} \end{aligned}\end{equation*}

のように見える.これが成り立つのは,カーテシアン座標系のみである.

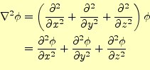
これは,見て分かるようにスカラー演算子である.スカラー演算子であるため, スカラーやベクトルに作用することができる.スカラー場$ \phi$に作用すると, 次のようなスカラー場ができる.

\begin{equation*}\begin{aligned}\nabla^2\phi &=\left( \frac{\partial^2}{\partial...
...\partial y^2}+ \frac{\partial^2 \phi}{\partial z^2} \end{aligned}\end{equation*}

このように単純に計算できるのはカーテシアン座標系の場合に限ら れる.ほかの曲線座標系のラプラス演算子は複雑である.円柱座標系と球座標系について は,詳細は,私のwebページに載せている.

http://www.akita-nct.jp/~yamamoto/study/electromagnetics/laplacian/html/index.html
を参考にせよ.

8.2 ベクトルラプラス演算子

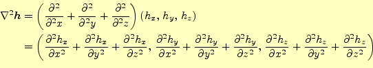
ラプラス演算子がベクトル場 $ \boldsymbol{h}$に作用すると,次のようなベクトル場ができる.

\begin{equation*}\begin{aligned}\nabla^2 \boldsymbol{h} &=\left( \frac{\partial^...
...l y^2}+ \frac{\partial^2 h_z}{\partial z^2} \right) \end{aligned}\end{equation*}

カーテシアン座標系のみ,このような単純なことが言え,偶然の産物に過ぎない.実際に, ベクトル場に作用するベクトル演算子--ベクトルラプラシアン--は,ベクトル解析の恒等式

$\displaystyle \nabla\times \nabla\times \boldsymbol{A}=\nabla \div{\boldsymbol{A}}-\nabla^2\boldsymbol{A}$ (48)

から導くべきである.この式の右辺第2項がベクトルラプラス演算子(ベクトルラプラシアン)である. 従って,ベクトルラプラス演算子は,

$\displaystyle \nabla^2\boldsymbol{A}=\nabla \div{\boldsymbol{A}}-\nabla\times \nabla\times \boldsymbol{A}$ (49)

から計算できる.右辺は,勾配と発散,回転からなる.

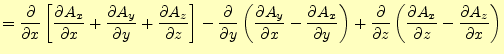
カーテシアン座標系の $ \textrm{x}$方向成分は,次のように地道に計算すれば求めることができる.

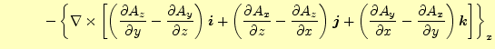
$\displaystyle \left(\nabla^2\boldsymbol{A}\right)_x$ $\displaystyle =(\nabla \div{\boldsymbol{A}})_x-(\nabla\times \nabla\times \boldsymbol{A})_x$    
  $\displaystyle =\left\{ \nabla\left( \frac{\partial A_x}{\partial x}+ \frac{\partial A_y}{\partial y}+ \frac{\partial A_z}{\partial z}\right) \right\}_x$    
  $\displaystyle \quad\qquad -\left\{\nabla\times\left[ \left( \if 11 \frac{\parti...
...ac{\partial^{1} A_x}{\partial y^{1}}\fi \right)\boldsymbol{k} \right]\right\}_x$    
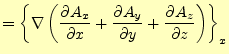
  $\displaystyle = \if 11 \frac{\partial }{\partial x} \else \frac{\partial^{1} }{...
...rtial A_z}{\partial x} \else \frac{\partial^{1} A_z}{\partial x^{1}}\fi \right)$    
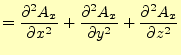
  $\displaystyle = \if 12 \frac{\partial A_x}{\partial x} \else \frac{\partial^{2}...
...frac{\partial A_x}{\partial z} \else \frac{\partial^{2} A_x}{\partial z^{2}}\fi$    
  $\displaystyle =\nabla^2 A_x$ (50)

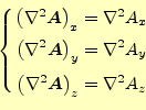
カーテシアン座標形は,すべての軸が同じ形をしている.従って,他の軸のベクトルラプ ラス演算子は, $ x \rightarrow y \rightarrow z$とサイクリックに記号を入れ替えるこ とにより容易に求められる.まとめると,カーテシアン座標系のベクトルラプラス演算子 は,

\begin{equation*}\left\{ \begin{aligned}\left(\nabla^2\boldsymbol{A}\right)_x &=...
...bla^2\boldsymbol{A}\right)_z &=\nabla^2 A_z \end{aligned} \right.\end{equation*}

となる.実に,単純である.

ほかの曲線座標系のラプラス演算子は複雑である.円柱座標系と球座標系について は,詳細は,私のwebページに載せている.

http://www.akita-nct.jp/~yamamoto/study/electromagnetics/laplacian/html/index.html
を参考にせよ.
ホームページ: Yamamoto's laboratory
著者: 山本昌志
Yamamoto Masashi
平成18年5月26日


no counter