ここでは,先ほどの電磁場の波動方程式のもっとも単純な解である三次元平面波について,
カーテシアン座標系で考察する.
先程述べたように,自由空間の電場を表す式(
8)は波動方程式で,その解
は波になっている.波といってもベクトルである電場の波である.この解として
を仮定する.ここで,

は波数ベクトルと呼ばれるものである.一次元問題の波数

に対応するものである.この解の式のパラメーターを適当に決めれば,
これは元の波動方程式の解の一つになることは自明であろう.
はベクトルで,
 |
(23) |
と成分で書き表すことができる.もちろん,

は位置を表すベクトルなので
 |
(24) |
である.従って,式(
24)中の

は,

と書き表すことができる.このことを理解すると,式(
24)を成分を用いて書き表すと
となる.これで,ベクトルの波を表す式(
24)がわかった.
次に波数ベクトル
の意味を考える.式(24)中の
は,位相である.そこで,この位相一定が場所
,
すなわち波面がどうなっているか考える.一定の位相を
とすると,
なので,
 |
(28) |
となる.もちろん,波面はある瞬間の状態なので,同じ波面の上では右辺は一定の値とな
る.このことから,

が一定の値の場所を結ぶと波面となることがわ
かるだろう.もちろん,

は波によって決まった値なので,定数である.従って,
3次元空間中のこれが一定の値になる場所

を探すことになる.式

は,

ベクトルの

軸への射影と考えることができる.
これが一定の面は,図
1のように平面となることは明らかである.そして,この平面
(波面)は

と垂直になり,

の方向に移動する.これは,

秒後の
波面を考えれば明らかである.
もう少しこれを定量的に評価することにすることが良いだろう.
と
秒の
位相
の波面の位置をそれぞれ,
と
とすると
| |
 |
(29) |
| |
 |
(30) |
となる.この式の辺々を引くと
 |
(31) |
となる.この式の意味は,成分で書き表すと
となり,かなりわかりやすくなる.これから波面の速度は,
と書き表すことができる.これは,波面の移動する速度で,位相速度と呼ばれる.これまでの話で,これが位相速度と呼ばれる理由がわかっただろう.成分で表された位相速度をベクトルで書き表すと,
となる.右辺の

は速度の大きさを,

は方向を表す単
位ベクトルになっているのである.
図 1:
波面と波数ベクトル
との関係
|
|
これまでの話で,式(24)が3次元の平面波を表すことがわかった.
この平面波がマクスウェルの方程式から導かれた波動方程式(8)の解になっ
ているためには,パラメーターである角振動数
と波数
はどのような関係
になっている必要があるだろうか?.それを調べるためには,式
(24)を式(8)の中に入れてみれば良い.すると,
となる.式(
8)の要請により,この右辺は恒等的にゼロになる必要がある.
任意の電場,任意の場所で,いつでもこの式が成り立つためには,
 |
(38) |
とならなければならない.波数ベクトル

と角振動数

の関係を表した
このような式のことを分散関係と言う.媒質中の波の性質を表す大事な関係である.
この式をつかって,波の速度を計算してみよう.波の速度の大きさは,式
(36)から,
となることがわかる.これから,電磁波の速度は誘電率と透磁率から求めることができる.誘電率は

,透磁率は

である.これから,電磁波の速度は

となる.
これは,光の速度と同じである.実は,光は電磁波なのである.これからは,光の速度を
として,
 |
(40) |
の記号を用いることにする.それにしても,磁石や静電気の現象が光と関係しているのは驚きである.
今までは,電場の平面波について論じて,式(24)が自由空間中のマクスウェルの方程式の解の一つになっていることを示した.同様に磁場の平面波も
マクスウェルの方程式の解になっているのは明らかである.なぜならば,電場

も
磁場

も同じ式なので,同じ解がある.
波動方程式の解となってる

と

を自由空間のマクス
ウェルの方程式の式(
1)から(
4)
に当てはめて,真の解の条件を捜す.
次に,電場

と磁場

,そして波の移動方向

の関係を調べる.まず
は電場で,式(
1)に平面波の式(
24)を
代入すると,
となる.自由空間では,

は恒等的にゼロなので,この式の右辺も恒等的に
ゼロとなる必要がある.これが,いつでもどこでも成り立つためには,
 |
(43) |
でなくてはならない.これは,電場と平面波の進む方向が直交していると言っている.
電場の波の式(
24)と磁場の波の式(
43)は全
く同じ形をしている.また,電場の発散の式(
1)と磁
場の発散の式(
2)も同じ形をしている.したがって,
磁場の場合も
 |
(44) |
が成り立つ.やはり,磁場と平面波の進む方向は直交しているのである.
平面波について,マクスウェルの方程式の(
1)と
(
2)が成立するためには,その進行方向と電場お
よび磁場の方向が直交する必要があった.残りの方程式については,どうだろうか?.
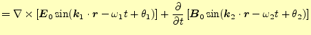
まずは,式(3)を考える.この式の左辺は
 |
![$\displaystyle =\nabla\times \left[\boldsymbol{E}_0\sin(\boldsymbol{k}_1\cdot\bo...
...symbol{B}_0\sin(\boldsymbol{k}_2\cdot\boldsymbol{r}-\omega_2 t+\theta_2)\right]$](img115.png) |
|
| |
ベクトル恒等式,
を使うと |
|
| |
 |
|
| |
は定ベクトルなので,
はゼロである |
|
| |
 |
(45) |
となる.これが,恒等的にゼロにならなくてはならない.いつでも,どこでもそれが成り
立つためには,
となる必要がある.電場と磁場の波の周波数と波数,位相が等しいのである.さらに,電
場と磁場,波の進む方向の3つは直交していることが分かる.以降,紙面の節約のために,

と

は

,

と

は

,

と

は

と書く.
これまでの全ての議論から,
- 電場と磁場,波の進む方向は全て直交している.
- 電場と磁場は同じ振動数,同じ波数,同じ位相である.
ということがわかった.
残りは,マクスウェルの方程式の(4)である.この式を計算
しやすくするために,
を使って
 |
(47) |
と書き直しておく.この式は(
4)とほとんど同じなので,電
場や磁場の波の式を代入した結果は,
 |
(48) |
と直ちにわかる.これが,いつでもどこでも成り立つためには
である.やはり,電場と磁場,電場と波の方向は直交している.
これまでのところ,電場と磁場,波の進む方向がおのおの直交しいれば,波の方程式
(24)と(43)は同時に成り立つことが分かっ
た.条件は,それだけでよいのだろうか?.まだだめである.式
(48)と式(51)が連立して成立する必要があ
る.これは,
| |
 |
(50) |
| |
 |
(51) |
と書き改められる.電場

と磁場

,波の進む方向

は全て直交
しているので,この式が表すベクトルの大きさの関係は,
| |
 |
(52) |
| |
 |
(53) |
と容易に導くことができる.これから,直ちに
 |
(54) |
となる.真空中の電磁波は,電場と磁場の比がいつも一定なのである.
この式から,
の関係をつかって,
と言う式が導かれる.技術者はこの関係を憶えている.この376.7
![$ \mathrm[\Omega]$](img146.png)
を自
由空間のインピーダンスと言う.電場

の単位は
![$ \mathrm{[V/m]}$](img148.png)
,磁場の強さ

の単位は
![$ \mathrm{[A/m]}$](img150.png)
である.したがって,

の単位は
![$ \mathrm{[V/A]}$](img152.png)
す
なわち
![$ [\Omega]$](img153.png)
となる.
ホームページ:
Yamamoto's laboratory著者:
山本昌志
Yamamoto Masashi
平成18年9月7日