物質中のマクスウェルの方程式を示す.ここの説明は,2年前の講義ノートである.この
時の教科書 [
1]とともに読むのが良いだろう.
ガラスや水などの絶縁体は電気を流さない.そのため,最初は電気的な作用はないと考え
られていた.しかし,並行平板中に絶縁体を出し入れすると,電圧が変化することにファ
ラデーは気付いた.図
2のような実験を行えば,それが分かる.
(1)まずはじめに,電池で並行平版コンデンサーに充電する.(2)電池を取り外し,電圧計
を取り付ける.(3)絶縁体をコンデンサーに入れて,電圧の変化を見る.その結果,驚い
たことに,絶縁体を入れると,コンデンサーの両端の電圧は下がるのである.
なぜ,このようなことが起きるのだろうか?.絶縁体は電気双極子の集まりと考えると説
明が付く.直流の電流は流れないが,なかには電気双極子がつまっているのである.この
ようなものを誘電体と言う.
原子に電場を加えると,分極が発生し,図3のように電気双極子
として取り扱うことができる.物質中では,これが密度
で存在するとして,
それを考慮して分極ベクトル
が定義できる.図からわかるように,ある表面積

を通り抜ける総電荷量

は,
である.ここで,

は表面の法線方向である.負号になる理由は,法線
方向と分極ベクトルの定義を考えれば分かるはずである.これから,単位表面あたり
通り抜ける電荷量は,
となる.この分極により,閉じた空間の電荷量は
となる.この積分は任意の領域で成り立つため,
 |
(47) |
を導くことができる.
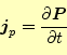
次に,この分極ベクトルが作る電流であるが,これは式(45)から,直ちに
導くことができる.
これを分極電流と言う.これで,分極ベクトルによる電荷と電流を導くことができたので,
誘電体中のMaxwellの方程式を書き直す準備ができた.
図 4:
境界を越えての電荷の移動(境界と分極ベクトルが平行)
|
|
|
図 5:
境界を越えての電荷の移動(境界と分極ベクトルが角度を持つ)
|
|
|
原子に電場を加えると,分極により,分極電荷が発生したような状況が磁性体
中でも起きる.磁性体中では,もっともっと複雑なことが起きているが,ここ
では,物質中のマックスウェルの方程式を書き改めるための概論にとどめる.
誘電体中で電荷が発生したように,磁性体中では電流が発生する.この電流の
起源は,述べないが,次のような性質がある.
- 非常に小さい閉じた電流のループから成り立っている.
電流は,閉じたループの集まりなので,
 |
(49) |
となる.閉じているので,湧き出しや吸い込みがないからである.これから,
 |
(50) |
と書ける.この

を磁化と言う.分極電荷は,電荷と電流を作ったが,磁化は電流
は作るが電荷は作らない.
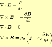
ミクロ的な立場で見ると,Maxwellの方程式は,
である.電磁場については,これが全てで,これを解けば全て分かる.分極に
よる電場も,分極電荷から生じると考えれば,この式で十分である.分極電流
もこれに含むことができる.磁化分極の電流も含めることができる.
しかし,分極電荷が問題となるような微少領域まで考えて,電磁場を計算する
のは,いかにも大変である.そこで,マクロ的な立場から,Maxwellの方程式
を書き直す.追加するのは,
である.これに加えて,実電荷(真電荷)による電流と電荷密度がある.これは一般には,

と

と書かれる.ミクロ的な立場のMaxwellの方程式
(
51)の

と

には,電気分極や磁気分極の電荷密度
や電流が含まれるが,以降のマクロ的な立場では,それらは実電荷のみが担う.
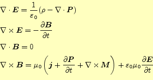
マクロ的な立場で,電気分極や磁気分極による電荷や電流を区別して書いた
Maxwellの方程式は,
となる.これは,式(
51)の電荷密度や電流の項を,電
気分極,磁気分極,実電荷によるものに分けたのである.これが,物質中での
マクロなMaxwellの方程式である.しかし,この式は複雑であまり見通しがよ
くない.そこで,ミクロな式(
51)に似た式に変形す
ることを考える.式(
55)を変形すると
が得られる.ここで,新たに
| |
 |
(60) |
| |
 |
(61) |
を定義する.この

を電束密度[C/m

],

を磁界の強さ[A/m]と言う.
これらを使うと,物質中のMaxwellの方程式は,
となる.このままでは,4つのベクトルが未知数であるため,通常は解けない.
物質中では,
 |
(63) |
 |
(64) |
という関係がある.この比例定数

を物質中の誘電率,

を物
質中の透磁率という.これは,

は

に比例する,

は

に比例することから,導くことができる.電場や磁場が弱いときには,
比例するが,大きくなると比例しなくなる.そのため,

や

を定数として扱うのは近似に過ぎない.
そこで,式(62)がいつでも成り立つためには,
や
を定数として取り扱わないようにすればよい.磁場や電
場の強さの関数であるし,もはや実数として取り扱わない,スカラーではなく
行列(テンソル),あるいはヒステリシスも考慮に入れ,取り扱う範囲を広げる
ことができる.そのようにして,
や
は物質中の電磁気的な
作用を記述している.
最後に,導体中の電磁場を計算する場合は,オームの法則を
 |
(65) |
を加えればよい.ここの

は,物質中の導電率である.
ホームページ:
Yamamoto's laboratory著者:
山本昌志
Yamamoto Masashi
平成18年7月13日