磁荷

が作る磁場は
 |
(46) |
となる.

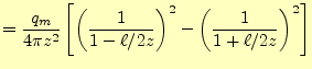
の磁荷を微少距離

だけ離した磁気双極子の磁場を考える.図のz軸
上(

)の磁場は,次のようになる.
 |
![$\displaystyle = \frac{q_m}{4\pi}\left[\frac{1}{(z-\ell/2)^2}-\frac{1}{(z+\ell/2)^2} \right]$](img148.png) |
|
| |
![$\displaystyle =\frac{q_m}{4\pi z^2}\left[\left(\frac{1}{1-\ell/2z}\right)^2- \left(\frac{1}{1+\ell/2z}\right)^2\right]$](img149.png) |
|
| |
内を二項分解,すなわち無限級数の和に分解する |
|
| |
![$\displaystyle =\frac{q_m}{4\pi z^2}\left[ \left\{1+\frac{\ell}{2z}+\left(\frac{...
...rac{\ell}{2z}\right)^2- \left(\frac{\ell}{2z}\right)^3+\cdots\right\}^2 \right]$](img151.png) |
|
| |
二次以上の微少量を無視すると |
|
| |
![$\displaystyle \simeq\frac{q_m}{4\pi z^2}\left[ \left(1+\frac{\ell}{z}\right)-\left(1-\frac{\ell}{z}\right) \right]$](img152.png) |
|
| |
 |
(47) |
磁気双極子が作る磁場は,距離の3乗で小さくなる.単極子(1重極)は距離の2乗で,
双極子(2重極子)は距離の3乗で小さくなる.
ここで,磁気双極子モーメント
を
 |
(48) |
とする.この場合,z軸上の磁場は,
 |
(49) |
となる.
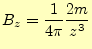
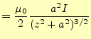
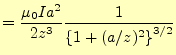
一方,半径
の円電流がz軸に作る磁場は,前回のビオ・サバールの法則を応用する問題
で示したとおり,
となる.先ほど同様に,コイルから離れた場合(

)には,
 |
 |
|
| |
 |
|
| |
 |
|
| |
テイラー展開する |
|
| |
![$\displaystyle =\frac{\mu_0Ia^2}{2z^3}\left[ 1-\frac{3}{2}\left(\frac{a}{z}\righ...
...ft(\frac{a}{z}\right)^4 -\frac{35}{16}\left(\frac{a}{z}\right)^6+\cdots \right]$](img162.png) |
|
| |
二次以上の微少量を無視すると |
|
| |
 |
|
| |
 |
(51) |
となる.ここで,
 |
(52) |
とすると,円電流と磁気双極子がつくる遠方の磁場は同一となる.ただし,

はコイル
の面積(

)である.
z軸上の遠方では,円電流と磁気双極子のつくる磁場は同一となることが分かった.証明
はしないが,z軸に限らずいかなる方向でも同じ磁場分布となる.このようなことから,
実際の磁場は,磁荷が作るのではなく円電流が作ると考えることができる.原子の中の電
子が回転することによる円電流が小さな磁場をつくるのである.原子が大量にあり,同じ
方向に磁場を作れば,それらは重ね合わせられ,強力な磁場を発生する.これが磁石とな
る.
ホームページ:
Yamamoto's laboratory著者:
山本昌志
Yamamoto Masashi
平成18年7月6日