この辺をきちんとすると,かなりの数式を羅列する事になってしまう.そこで,ここでは
教科書に沿って,直感的なイメージを大切にして,説明する.
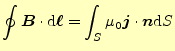
定常電流の作る磁場を実験でいろいろ調べてみると,図
6のようになっていることが
分かった
7.ちょうど,電流が流れる方向とねじの方向を一致させると,磁場の方
向は右ねじの回転方向と一致する.これを右ねじの法則といい,電流と磁場の方向を示し
ている.
1本の長い電線が作る磁場を考えよう.磁場は,電線の
周りに回転としてできる.このような場合,どのような微小の体積を考えても,
その発散はゼロである.要するに,どんな部分をとっても,入ってくる磁場の
フラックスと出て行くフラックスは等しい.すなわち,
 |
(6) |
である.これは,たとえ,電線を取り囲んだ体積を考えても,そうなる.この左辺は,ガ
ウスの発散定理
 |
(7) |
が成立する.したがって,
 |
(8) |
である.これはいかなる領域でも成立するので,
 |
(9) |
となる.磁場の発散はなく,必ず磁場は元に戻ることを言っている.
電場の場合は,電荷から電気力線が出ていて,どこか無限遠点に行くか,反対の電荷に吸
収されていた.磁場の場合,磁力線は閉じた線である.このことは,電荷に相当する磁荷
は無いと言っている.
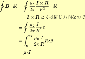
前節の結果から,磁場の発散は分かった.磁場を決めるためには,回転を求める必要があ
る.そのために,図
7のような経路で積分を行う.電流は無限に長い
直線とする.この場合の磁場は,式(
5)を使え
ばよい.半径

での線積分は
となる.この結果は,磁場が直線電流からの距離の

に比例することから,
容易に予想できる結果である.重要なことは,直線電流からある距離離れた磁
場の線積分は,距離に依存しないことである.
これは,ガウスの法則,点電荷の作る電場の面積分が,距離に依存しないのと同じである.
この場合も,最初,球の中心に点電荷を置き,一般的に閉じた面で成り立つことを示した.
同じことを,ここでも行う.次に,積分路を図8のように変形させると,
と書くことができる.磁場
の方向,すなわち
の方向は,
に平行で,
と
には垂直となる.したがって,積分は先ほどと同じで,
となる.図
9のように積分路を変更しても同じである.これまで
の結果から,閉じた線路での積分はいつも同じ値になることが分かる.
今までは,1本の直線電流であったが,磁場は重ねあわせができるので,複数本でも成り
立つ.あるいは,電流がデルタ関数のように離散的ではなく,連続的な分布,密度
として存在する場合も成り立つ.これらは,磁場が重ね合わせの原理が成り立
つからである.さらに,証明はしなかったが電流が曲線であっても成立する.このことか
ら,
が成り立つ.これを積分形のアンペールの法則と言う.右辺は,線積分を囲む電流の総和
になっていることに注意が必要である.
ところで,この積分の外側の電流の寄与はどうなるのであろうか?.外側の電流であろう
とも,この積分路には磁場を発生させる.結論を先に言うと,
- 外側の電流による磁場はあるが,積分を行うとゼロになる.
である.このことは,電荷でやったのと同じことを行えばよい.図
12の通りである.
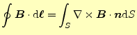
諸君は,ストークスの定理を知っている.それを使うと,式(
12)
の左辺は,
 |
(13) |
となる.これから,積分形のアンペールの法則は,
 |
(14) |
と書き改められる.この式は,任意の面で成り立つ.そのためには,
となる必要がある.これがアンペールの法則の微分形である.全てが場の量となっている
ので,理論的には扱いやすくなる.
このアンペールの法則の言っていることは,電流が磁場の回転を作っている.
ホームページ:
Yamamoto's laboratory著者:
山本昌志
Yamamoto Masashi
平成18年6月22日