ラグランジュの補間はデータ点数が増えてくると関数が振動し,補間の精度が悪くなるの
は先に述べたとおりである.そこで,補間する領域をデータ間隔
![$ [x_i,x_{i+1}]$](img38.png)
に区切
り,その近傍の値を使い低次の多項式で近似することを考える.区分的に近似関数を使う
わけですが,上手に近似をしないと境界でその導関数が不連続になる.導関数が連続にな
るように,上手に近似する方法がスプライン補間(spline interpolation)である.
ここでは,通常よくつかわれる3次のスプライン補間について説明する.補間する関数が3次関数
を使うため,そう呼ばれている.これ以降の説明は,文献[1]を参考にした.
データは先と同じように
と
する.そして,区間
で補間に使う関数を
とする.この様子を図
5に示す.
3次のスプライン補間を考えるので,区分多項式は
となる.この

を求めることが,スプライン補間の関数をきめる問題
となる.
個のデータ数があるため,区分多項式は
個ある.したがって,区分多項式の係数
をである未知数は
個あることになる.これを求めるためには,
個の方程式が必要
となる.3次のスプライン補間に以下の条件を課して,その係数を求めることにする.
- [条件1]
- 全てのデータ点を通る.各々の
に対して両端での値が決まる
ため,2N個の方程式ができる.
- [条件2]
- 各々の区分補間式は,境界点の1次導関数は連続とする.これにより,
N-1個の方程式ができる
- [条件3]
- 各々の区分補間式は,境界点の2次導関数も連続とする.これにより,
N-1個の方程式ができる.
以上の3つの条件を課すと
個の方程式で未知数である係数の関係を表現できる.実際,未
知数は
個なので,2個方程式が不足している.この不足を補うために,いろいろな条
件が考えられるが,通常は両端
と
での2次導関数の値を0とする.すなわち,
である.これを自然スプラ
イン(natural spline)という.自然スプライン以外には,両端の1次導関数の値を指定す
るものもある.
これで全ての条件が決まった.あとは,この条件に満たす連立方程式を求めるだけである.
このように,必要な条件が決まった場合,
個の未知数
を既知の
を使って連立方程式を作るのが普通である.これも可能であるが,少し手間
を省くために,
- これら
個の未知数を
と
,さらに
における2次導関数の値を
で表現する.
が満たす連立方程式を作り,
を解く.
- 既知の
と
と連立方程式により求められた
を用いて,区分多項式の
係数
を計算する.
というアプローチで問題を解く.ここで,本当に未知数

を

で表現することができるのか--という疑問が湧く者もいるだろう.これは,先の連
立方程式を作る条件を上手に使うことにより可能なのである.また,このような方法は,
問題解決の遠回りをしているように思えるが,以降の説明を見ると実際にはかなり簡潔に
なることがわかるので我慢して読んで欲しい.
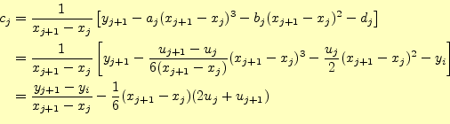
これは,

から求めることができ
る.式(
5)から,
 |
(7) |
となる.

の時,これは

となるので,
が直ちに導かれる.これで,

を

で表現できたことになる.

を表現するた
めには,

と

を使っても良かったが,ここではたまたま必要なかったのである.
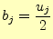
これは,2次導関数が区分多項式の境界で等しいという条件から
導くことができる.先ほどは区分多項式の左端

を考えた.次に右端

を考
えることにする.右端の導関数は,
 |
(9) |
となる.これから,

は
と導くことができる.これで,

を

と

と

で表現できたことになる.
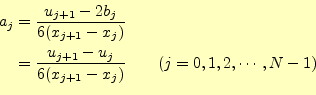
これは,区分多項式は全てのデータ点上を通過するという条件
から導くことができる.まずは,多項式

の左端

を考える.ここでは,

なので,式(
5)に代入すると
が直ちに導ける.これで,

を

で表現できたことになる.

の表現には,

と

はたまたま不要であった.
これもまた,区分多項式は全てのデータ点上を通過するという条件
から導くことができる.今度は,多項式

の右端

である.ここでは,

なので,式(
5)に代入すると
 |
(12) |
が導ける.式
(
8),(
10),(
11)を用いる
と,
となる.これで,

を

と

と

で表現できたことになる.
以上で,
と
,
,
が
と
,
で表せたことになる.
と
はデータ点なので,既知である.したがって,
が分かれば,補間に必要な係
数が全て分かるのである.また,連立方程式の[条件1]と[条件3]も満
たしている.従って,[条件2]を満たすように
を決めれば良いことになる.
すると全ての区分多項式の係数が分かるのである.
先に述べたように

は,1次導関数が境界点で等しいという条件から決める.次の式を
使うのである.
 |
(14) |
これと式(
5)から,
 |
(15) |
となる.あとは,この式の

と

,

を

と

,

で
表して,

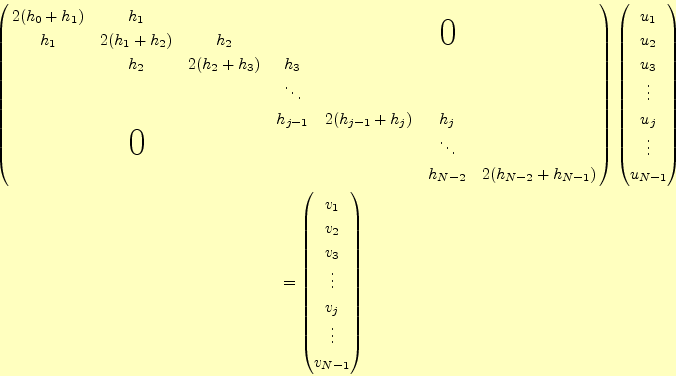
の連立方程式にするだけである.最終的に式は,
となる.この方程式は,

で成り立つ.したがって,式の数は,

個である.

の数は

個であるが,

としたので,未知の

は

個である.式(
16)を解くことにより,全ての

が
決定できる.これが決まれば,

と

,そして

が計算できる.
を代入した連立1次方程式は,
となる.ただし,

と

は以下のとおり.
いうまでもないと思うが,スプライン補間を行う区分多項式(
5)は,
以下の手順で求める.
- 連立方程式(17)を計算して,各点での二次の導関数の値
を求める.
- 区分多項式の係数
と
,
,
を式(10),
(8),(13),(11)を
計算する.
区分多項式が分かれば,補間の値計算できる.
ホームページ:
Yamamoto's laboratory著者:
山本昌志
Yamamoto Masashi
平成18年11月27日