理論から分かるように,スプライン補間を行うためには以下の2つの計算が必要である.
-4pt
- 各点での2次導関数の値
の計算
- 係数
を求めて,補間の値の計算
それぞれ,C言語の関数を作成することにする.それぞれの関数の作成方法について,以
下に述べる.
まず最初の関数で,標本点

と

から,

での2次導関数の値

を計算する
プログラムである.この関数は,最初に1回呼び出すだけでよく,結果は補間値を計算す
る次の関数に渡す.この2次導関数の値を計算するプログラムは,独立した関数としてモ
ジュール化するのが常套手段である.そのほうが,プログラムが分かりやすくなり,メン
テナンスも容易である.
C言語の関数でこれを実現するための関数のプロトタイプ宣言は,
void spline_cal_u(int n, double x[], double y[], double u[]);
のようにすればよい.
nは標本点の最大の番号である.標本点の番号は,0から
始まり
nで終わる.配列
x[]と
y[]に標本のxとy座標の値を入
れる.配列
u[]は計算された2次導関数の値が入る.
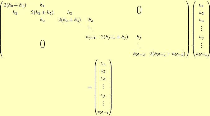
この関数での処理の内容は,
- 標本点での2次導関数の値
が満たす連立方程式を作成する.
- その連立方程式を解く.
である.要するに連立方程式を作り,そして解いているのである.解くべき連立方程式は,
次の通りである.
ただし,

と

は以下のとおり.
この関数のフローチャートを図1に示す.この関数では,
連立方程式を解く必要がある.この連立方程式は,以下の特徴がある.
- 係数は,3重対角行列である.
- 対角成分は,ゼロにならない.
通常はLU分解,あるいは反復法で解くことになる.しかし,そのプログラムを書くのも面
倒なので,以前作成したピボット選択のないガウス・ジョルダンを使えばよい.連立方程
式により解かれた2次導関数の値は,配列
u[]に入れられて呼び出し側に戻る.
連立方程式により計算される2次導関数の値は,
である.両端は自然境界条件で,
とする.こ
この関数では最後にその条件を配列をu[0]=0, u[n]=0とすることで実
現している.
図 1:
2次導関数
を求める関数.
|
|
2次導関数の値が分かったので,残りの処理は,その値を利用して任意の

の補関値を求
めることである.スプライン補間は,3次の区分多項式で標本点の間を補完するのは今ま
で述べたとおりである.そのためには,標本点の座標と2次導関数の値,即ち

がわかれば計算できる.2次導関数の値

は予め,先の関数
spline_cal_u(n, x, y, u)で計算しておくものとする.
スプライン補間の計算に必要な
から,補間点
の値を求める関数を作
ろう.C 言語の関数でこれを実現するための関数のプロトタイプ宣言は,
double spline(int n, double x[], double y[], double u[], double xx);
のようにすればよい.この関数の実引数
xxに補関値を求めたい

を入れるので
ある.そして,この関数の戻り値が

での補間値

となる.
この関数の処理の内容は,
- 補間値を求める
が,どの標本点の間にあるか探す.
- 見つかった標本点の場所から,3次関数の係数を計算する.
- 3次関数から
の時の値,
を計算する.
である.ここで重要なことは,

がある区間を探し,3次関数の係数を求めることである.
2次導関数と標本点の値から,それらの係数は
と計算できる.これらの係数から,補間の値

は
となる.
この関数のフローチャートを図2に示す.まず初めに,
が存在す
る区間を2分探索により探している.これがわかれば,
を挟む場所の
の値がわ
かる.そうすると,式(4)〜(7)を用いて,3次関数の補間式
の係数
の値が計算できる.そして,式(8)から補間値
がわかる.
補間したい点
が変わる毎にspline(n, x, y, u, xx)を呼び出せばよいわけで
ある.
ホームページ:
Yamamoto's laboratory著者:
山本昌志
Yamamoto Masashi
平成18年12月17日