ここまで示した方法は,わりとエレガントな方法である.しかし,1階の常微分方程式しか
取り扱えないので不便きわまりないと思っている者もいるだろう.一般に,高階の常微分
方程式は,1階の連立微分方程式に変形できる.このことから,高階の常微分方程
式の近似解は,これまで示した方法を用いて計算できるようになる.諸君は,1階の常微
分方程式が計算できれば,ちょっとの工夫で高階のものも計算できるのである.
重要なことは,高階の常微分方程式を1階の連立微分方程式に直すことである.まずは,
その方法を示す.例えば,次のような2階の常微分方程式があったとする.
この方程式の右辺は,

の3つの関数に見えるが,実際には独立
変数は

のみである.

も,

も

の関数となっている.
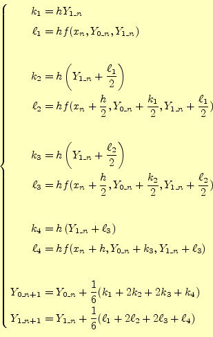
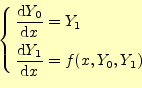
この2階常微分方程式を1階の連立微分方程式にするために,
のように変数変換をする.すると,式(
28)は
と変形できる.これで,2階の常微分方程式が1階連立常微分方程式に変換されたことにな
る.1階の微分方程式ということで,4次のルンゲ・クッタ法が使える.次のようにすれば
よい.
この漸化式を芋づる式に計算すれば,元の2階の微分方程式の近似解が求められるわけで
ある.近似解

は

となり,その微分も同時に計算され

であ
る.
ホームページ:
Yamamoto's laboratory著者:
山本昌志
Yamamoto Masashi
平成18年9月5日