反復法を用いて,連立方程式の解を数値計算する練習問題である.ここでは,コンデンサー
の静電容量を求める.諸君は電気工学科の学生なので,ちょうど良い練習問題と考えてい
る.ここでの計算アルゴリズムは,有限要素法と呼ばれる方法で,連立方程式の計算
が必要になる.後の授業では差分法を学習し,そこでも連立方程式が重要な役割を果たす.
コンデンサーの特徴を表すパラメーターにキャパシタンス(静電容量)があることは,十分
承知していると思う.これは,いろいろな方法で計算することができる.その中で,私が
好んで使う方法は,エネルギーから計算する方法である.これは,電場の状態がキャパシ
タンスを決める--と言っており物理的意味が分かりやすい.空間に電場
2

が分布している場合,そのエネルギー

は
となる.

が静電場のエネルギー密度になっている.信
じられない!!,それならば次元解析をしてみよ.また,よく知られているように,コンデ
ンサーの電圧

とキャパシタンス

,そこにたまっているエネルギーには,
の関係がある.コンデンサー内部では,それらは図
1のような関係
になっている.これからも分かるように,コンデンサーの内部には式
(
13)が示す静電場のエネルギーが蓄えられている.一方,
電気的には,式(
14)が示すエネルギーが蓄えられてい
る.これらのエネルギーは等しいので,
となる.この式の左辺の電場はいろいろな方法で計算でき,静電場のエネルギーを求める
ことができる.一方,電圧

は予め与えられているので,左辺の値を使えば,静電容量
が計算できる.要するに,静電場

を求めることができれば,静電容量

が計算できる
のである.
いままで,よく分からなかった静電容量というものは,コンデンサーに蓄えられるエネルギーを示す
指標と考えて良い.私は,この考え方が好きである.なにしろ,分かりやすい.
先に示したとおり,コンデンサー内部の電場が分かれば,そのキャパシタンスを求めるこ
とができる.それは簡単だ!!;電圧

を電極間距離

で割れば,電場は

と求め
られる--と言う人がいる.これは,コンデンサー内部で誘電率が一様な場合は正しい.そん
な単純な問題は,いままでさんざん学習してきた.ここでは,もう少し難
しい,誘電率が変化する問題を解くことにする.
誘電率が,3次元(
の関数)で変化すると計算が大変なので,1次元問題に限ること
にする.2次元や3次元も考え方は同じであるが,計算は大変である.ここで,計算するコ
ンデンサー内部は,図2のとおりとする.誘電率は,座標
の関数で,
変化するものとする.
このような場合の電場はどうなるのであろうか?.一つの方法は,ポアッソン方程式
3
を解くことにより求めることができる.ここで,

はポテンシャルで,電圧のことで
ある.少し気取って書いているのである.この微分方程式を

,

の境界条件で解くことになる.そうすると必要なものが全て計算できるの
で,静電容量を計算できる.しかし,今回は,別な方法で計算する.
ポアッソン方程式の代わりに,コンデンサー内部の電場は,そのエネルギーが最小になる
ように分布するという原理を使う.当然,この場合でも,境界条件
は課せられている.コンデンサーの内部のエネルギーは,1次元
なので,
と書ける.ここで,

はコンデンサーの電極の面積である.
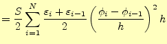
このポテンシャル分布をコンピューターに計算させるために,コンデンサーの内部を細か
く
等分に区切る.この様子を図3に示す.すると,エネルギーは
となる.ここで,

は,

当分に区切ったひとつの間隔である.
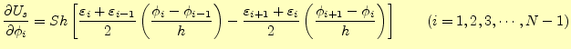
静電場のエネルギーが最小になるためには,微分がゼロになる必要がある.このエネルギー
をポテンシャル
で微分すると
![$\displaystyle \if 11 \frac{\partial U_s}{\partial \phi_i} \else \frac{\partial^...
...2} \left(\frac{\phi_{i+1}-\phi_{i}}{h}\right) \right]\qquad(i=1,2,3,\cdots,N-1)$](img60.png) |
(19) |
となる.

が最小値になるためには,

となる必要がある.
また,コンデンサーの両端の電圧は固定されているので,

で

である.
従って,これらをまとめると
となる.要するに,この連立1次方程式を計算すれば,任意の誘電率の場合のコンデンサー内部のポテ
ンシャル(電圧)が得られる.ポテンシャルが分かれば,電場が分かり,そうすると内部の
エネルギーが計算できる.従って,静電容量が求められるわけである.
ここで示した計算方法は有限要素法と呼ばれている.これは,式(16)
のポアソン方程式4と呼ばれる微分方
程式の代わりに,式(13)の極値となる関数--ここではポテン
シャル--を計算するものである5.
先に示したように,コンデンサー静電容量を求める本質的な計算はポテンシャル

(電圧)の
分布を求めることにある.それは連立方程式
から求められる.

と

は境界条件なので,これは決まった値で計算する必
要はない.真ん中の式を,ガウス・ザイデル法の反復を計算するために
と変形を行う.あとは単純,これを反復計算すれば近似解が求められる.
ホームページ:
Yamamoto's laboratory著者:
山本昌志
Yamamoto Masashi
平成18年11月12日