諸君が使う方眼紙は,普通の方眼紙(名前??),型対数方眼紙,両対数方眼紙が主である.
これらをデータに応じて使い分ける必要がある.まず,これらの方眼紙の特徴を述べる.
これは,もっともおなじみの,x軸とy軸ともリニアーになっているものである.説明する
までもなく,よく知っているだろう.これはグラフ上の基準点からの距離(

)に,デー
タ

を
| |
 |
|
 |
|
(1) |
のようにプロットする.

と

はグラフのスケールを決める定数,

と

はオフセットである.難しいことを言わなくても,x軸とy軸の交点(基準点)を

として,等間隔に目盛りを付けていると言うだけのことである.
したがって,x軸とy軸ともリニアーになっている方眼紙では,
の一次関数が
のように,グラフ用紙で直線になる.なぜならば,

に依存しないで,傾きが一定となっ
ているからである.このグラフの傾き

と,スケールの比

から,デー
タの1次関数の係数

が分かるのである.
この方眼紙の軸は,ちょっと変わっていて,片方はリニアーで,もう一方は対数軸となっている.横軸,縦軸のいずれも対数軸にすることができる.ここでは話を簡単にするために,縦軸を対
数軸とする.そうすると,横軸はリニアー軸になる.先ほどと同様にグラフ上の基準点か
らの距離を

とする.この場合は,
| |
 |
|
 |
|
(3) |
となる.ここで,

と

はグラフの原点を決めるオフセット値である.

と

はグラフのスケールを決める定数である.
このようなグラフで直線となる関数を考えることにする.そのために,値
がちょっとだけ変化した場合,グラフ上の点の動きを調べてみよう.それは,
| |
 |
|
 |
|
(4) |
となる.これから,グラフ上で,傾き

を持つ直線は,
となる.ここで,縦軸と横軸のスケールの比

は1にしたグラフが多い
2.そこで,この比を1として,話を進める.グラフ上で直線になる関数は,式
13の微分方程式の解である.この微分方程式は
 |
(6) |
と見覚えがあるものに書き換えることができる.この方程式の解は,
となる.ここで,

は積分定数である.この結果から,方対数グラフ上では指数関数が直線で表されるのである.いうまでもないが,
 |
(9) |
となるので,底が10であろうが,ネピア

であろうが,その他なんでも指数関数が直線で表せる.
ようするに方対数グラフの傾き
が,指数関数
となるのである.
両対数グラフは,片対数方眼紙と同じように考えることができ,データ

は,グラフ
上の
に変換される.
先ほどと同様にグラフ上で直線となる関数を考えることにする.値
がちょっとだけ変化した場合,グラフ上の点の動きは,
| |
 |
|
 |
|
(11) |
である.これから,グラフ上で,傾き

を持つ直線は,
となる.両対数グラフでは,縦軸と横軸のスケールの比

は1にする.
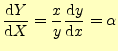
グラフ上で,傾き
を持つ直線は,
となる.この微分方程式の解は,
 |
(14) |
である.従って,両対数グラフにプロットして,それが直線であれば,

の関数系であることが分かる.そして,グラフの傾きにより,

を求めることあできる.
ホームページ:
Yamamoto's laboratory著者:
山本昌志
Yamamoto Masashi
平成19年6月24日