ここで述べている回路の応答の計算は,諸君が現在身につけいている数学のレベルを超えている.
しかし,結果については学習の範囲内であり,直感的に理解できるであろう.従って,細
かい計算は気にしないで,結果を直感的に理解することに努めよ.ただ,結果のみを書い
たのでは原理を示したことにならないので,退屈であるが正確な記述を示す.
図
1に示すCR回路の過渡応答を考える.ここでは,スイッチが
OFFの状態ではコンデンサーに充電されていないものとする.そして,それをONにした瞬
間から電流が流れ,コンデンサーが充電される.その充電電圧が上がり,電源電圧と等し
くなると電流は流れなくなり,回路は定常状態におさまる.スイッチをONにして,定常状
態におさまるまでを過渡状態と言う.
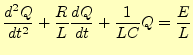
電流や電圧,あるいはコンデンサーの片側の電極の電荷量は,時間とともに変化する.そ
の変化を表す式を考える.スイッチSをONにした場合,この回路の電圧に関係するキルヒ
ホッフの法則は
となる.電荷

と電流は,

の関係がある.この関係式を用いると,式
(
1)は
 |
(2) |
となる.ここで,電荷

のみが時間の関数で,残りは定数である.この常微分方程式の
一般解
1は,
である.ここで,

は任意定数である.
任意常数は初期条件より決めることができる.スイッチSをONにした瞬間を
として,そのときの回路の状態を初期条件と言う.ここでの初期条件は,
の時,コンデンサーの電荷は
とする.この条件を先ほどの電荷を表す式に当てはめると,

である.したがって,
このCR直列回路のコンデンサーの片側に貯まる電荷は,
 |
(4) |
となる.
電荷
の変化が分かったので,回路の電圧や電流を求めることは簡単である.まずは,
コンデンサーの電圧は,
から簡単に求められ,
 |
(5) |
である.

の時にはコンデンサーには充電されていないので,電圧は発生していない
のである.これは,その瞬間のコンデンサーの抵抗はゼロと考える.一方,回路に流れる
電流は

より,
 |
(6) |
となる.

の瞬間,コンデンサーの抵抗はゼロなので,電流は抵抗によってのみ決ま
るので,

となる.
ここで,
を時定数と言い,それはコンデンサーの電圧が定常状態の63.2%になる時
間を表している.
先ほどと同様な手法を用いて,図
2のLR回路を解析する.これ
を解析する前に,定性的にその応答を述べておく.スイッチSをONにした瞬間,コイルの
抵抗は無限大になる.もし無限大にならないと,有限の電流がながれそのときの電流の
変化は無限大となる.すると無限大の抵抗となり,電流はゼロにならなくては成らない.
これは矛盾である.従って,ONにした瞬間の電流はゼロで,しばらくすると電流が徐々に
増加する.電流が増加して行くが,

よりも多くの電流が流れることはない.定常
状態ではコイルは無視でき,

の電流が流れる.
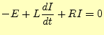
定量的な解析は,キルヒホッフの法則から始める.この回路では,
 |
(7) |
である.CR回路の解析と同様に,この微分方程式の一般解は,
となる.ここで,初期条件(

の時,

)を用いると,任意定数は

となる.
したがって,回路に流れる電流は,
![$\displaystyle I=\frac{E}{R}\left[1-e^{-\frac{R}{L}t}\right]$](img44.png) |
(9) |
となる.一方,抵抗の電圧は
である.
電流や電圧が定常状態の63.2%になる時間を時定数と言い,それは
である.
図
3のLCR回路を解析する.これを定性的に理解することはな
かなか難しいが,少し考えてみる.まずは,コイルがあるためスイッチを入れた瞬間の電
流はゼロで徐々に立ち上がると想像できる.途中経過は分からないが,最後にはコンデン
サーが電源電圧

まで充電され,定常状態になると思われる.
定性的に分かりにくい場合は,定量的に評価するしかない.キルヒホッフの法則から,
 |
(11) |
が導かれる.CR回路の解析と同様に

なので,説くべき微分方程式は
 |
(12) |
となる.付録
2に示しているように,この微分方程式の解は
 |
(13) |
となる.ここで,

と

は未知定数で,初期条件によって決める.ここでは,それ
は
とする.
未知定数

と

をもとめて,回路の応答を考えるが,ここでは

,すなわち

の場合を考える.このときの回路
の応答は,式(
13)の最初の解によって示される.これから,未知定数
を求めるが,式が長いので
とする.すると,
 |
(16) |
である.これを微分して,電流は
となる.初期条件から,
の連立方程式が成り立つ.この連立方程式の解は,
となる.これを用いると,回路に流れる電流やコンデンサーの電荷の変化が分かる.ここ
で,興味があるのは,図
3に示されている電圧なので,それ
を電流から求めることにする.回路に流れる電流

は,この

と

を式
(
17)に代入すればよい.オイラーの公式
2を使う
と,それは,
 |
(20) |
となる.これから,図
3に示されている電圧は,
となる.これは振動項

と減衰項

の積の形になっており,
このような場合を減衰振動と言う.
次に,

,すなわち

の場合を考える.先ほど同様,
回路の応答は,式(
13)の最初の解によって示される.この式は長いので
とする.後は,減衰振動の場合と全く同じように計算を進めれば良い.しかし,

に気が付けば,減衰振動の解を利用することができる.すなわち,式
(
22)の

を

に書き直せば良い.
これから,図
3に示されている電圧は,
となる
3.この場合,
振動しないで減衰する.これを過減衰と言う.
次に,

,すなわち

の場合を考える.回路の応答は,式
(
13)の2番目の解によって示される.この式は長いので
 |
 |
(27) |
とする.従って,
 |
(28) |
である.
減衰振動の場合と全く同じように,初期条件から未知定数を決める.まずはじめに,
のとき
の条件から,
となる.従って,
 |
(29) |
となる.これから,電流は
 |
(30) |
となる.

のとき

の条件から,

となる.元々の条件,

を上手に使い,整理すると
 |
(31) |
が得られる.これから,
となる.これは臨界減衰と呼ばれる.
ホームページ:
Yamamoto's laboratory著者:
山本昌志
Yamamoto Masashi
平成18年7月3日