次のような関数はフーリエ級数で表すことができる.
-4pt
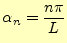
例えば,周期

あるいは区間
![$ [-L,L]$](img25.png)
で定義された関数

は,
のようにフーリエ級数で表すことができる.
先に示したように,フーリエ級数は有限な区間
![$ [-L,L]$](img30.png)
で定義された関数を表すことがで
きる.それを無限の区間
![$ [-\infty,\infty]$](img31.png)
に拡張することを考える.ここで
は,有限な

の式から出発して,それを

にする.式
(
4)の

に

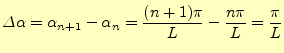
と

を代入すると,
が得られる.ここで,
有限の値 |
(6) |
とするならば,式(
5)の右辺の第一項はゼロに収束する
4.なぜならば,

の係数が無限小になるからである.つぎに,
| |
 |
(7) |
| |
 |
(8) |
とおく.すると,

は

となる.したがっ
て,

の場合の式(
5)は,
となる.ここで,
とおく.すると,式(
9)は,
となる.この右辺はリーマン和の極限--普通の積分--の形になっている.したがって,
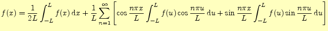
と書くことができる.これまでの話をまとめると,次のようになる.
|
フーリエ積分1
区間
で定義された関数 は,次のフーリエ積分で表すことができる.
|
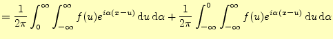
つぎに,式(10)と式(11)を式
(13)に代入すれば,
がえられる.これもフーリエ積分である.
式(
14)から,指数関数を用いたフーリエ積分を求める.その
計算をするときに,オイラーの公式より導くことができる.ここでは,
 |
(15) |
を用いる.
この式を使うと,式(14)は次のように変形できる.
この式は,一般には次のように変形されて使われることが多い.
この式もまた,フーリエ積分の別の形である.他のフーリエ積分に比べると式が単純であ
ること,また次のフーリエ変換との関係が深いことから,これがもっとも重要である.
式
17から,次のような関係式を導くことができる
5.
これをフーリエ変換(Fourier transform)と言う.これは,時間情報を周波数情報に変換
している.すなわち,時刻の関数で振幅が

が分かったとすると,周波数(角振動数)
の関数でその振幅

がわかる.
ホームページ:
Yamamoto's laboratory著者:
山本昌志
Yamamoto Masashi
平成19年2月28日