フーリエ級数とは全く話を別にして,区間
![$ [-\pi,\,\pi]$](img190.png)
で定義された関数

を三角
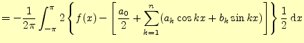
関数を用いて最小二乗法で近似する.すなわち,
と近似する.ここで,式(
25)の係数

と

を上手に選んで,

との二乗平均差
3
が最も小さくなるようにする.この二乗平均誤差は,係数

や

の関数となってい
る.この係数の選び方により,誤差の量が変化する.
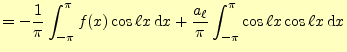
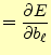
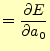
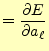
二乗平均誤差を最小にするためには,それぞれの偏微分がゼロになるときに得られる.すなわち,
が条件となる.この具体的な計算は,式(26)に式(25)を代入
して偏微分がゼロとなる
や
を求める.
二乗平均後差が最小になる
は,次のように計算して求める.
である.ゆえに,
 |
(29) |
となる.これは,フーリエ級数の
の計算と同じ.
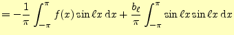
二乗平均後差が最小になる
番目の係数
を計算する
したがって,
 |
(31) |
である.これもフーリエ係数の計算と同じ
同様にし,二乗平均後差が最小になる
番めの係数
を計算する
したがって,
 |
(33) |
である.これもフーリエ係数の計算と同じ.
フーリエ級数は,関数
を最小二乗法で近似している.これは,展開する三角関数が
有限個の場合でも,その展開の項数に関わらずいつも最良近似となっている.展開の項数
に関わらず,同じ係数でいつでも最良近似となるのは,展開する三角関数の集合が直交関数
系となっているからである.
ホームページ: Yamamoto's laboratory
著者: 山本昌志
Yamamoto Masashi
平成18年12月1日