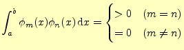
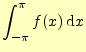
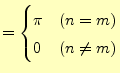
関数の集まり

があるとき,
 |
(1) |
のとき,

を区間
![$ [a,\,b]$](img23.png)
での直交関数系と言う.あたかもベクトル

が直交しているのと同じ.ベクトルの内
積の演算が,関数では積分になる.
フーリエ級数は,関数の集まり2
で周期関数を表したものである.これらの関数が直
交関数系になることを示す.フーリエ係数を計算する場合,この直交関係が重要になる.
それを証明するために,次の順序で式(1)の積分を行う.
-4pt
- コサイン(余弦関数)間の直交関係
- サイン(正弦関数)間の直交関係
- コサインとサインの間の直交関係
- 定数関数
とコサインとの直交関係
- 定数関数
とサインの直交関係
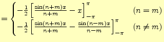
それでは直交関数系と成っていることを示そう.
と
を自然数として,最初にコサイン同士の積分の計算を行う.
同じことをサインの積に対して行う.
が得られる.サインとコサインの積は簡単で,

は奇関数,

は偶関数である.その積は奇関数となる.したがって,
となる.最後に,定数関数

と

,

の積分をおこなう.
以上より,任意の関数
をフーリエ級数で展開するときの関数の集合
は直交関数系となっていることが分かる.
周期

の関数

は,次のように三角関数の和で表すことができる.
これをフーリエ級数(Fourier series)と言い,自然現象の解析に大変役立つものである.
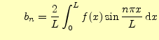
三角関数の係数

と

は,三角関数の成分の大きさを表す.

と

は次のよ
うにして求めることができる.
式(
6)の両辺を区間
![$ [-\pi,\pi]$](img61.png)
で積分を行う.
これより,
となり,

を求めることができる.
この式をよく見ると,
は
の平均値となっている.電気回路では,この平均
値のことを直流成分と言う.
式(
6)の両辺に

を乗じて区間
![$ [-\pi,\pi]$](img71.png)
で積分を行う--
ことにより,コサインの係数の

を求める.ただし,

は自然数とする.
これより,
を計算することにより,

を求めることができる.ここで,

の場合を考える.そ
うすると,式(
8)と同一の式が得られる.したがって,式(
8)は
式(
10)に吸収され,不要となる.これが,フーリエ級数の最初の項を

と
しないで,

とした理由である.
つぎに,式(
6)の両辺に

を乗じ
て区間
![$ [-\pi,\pi]$](img84.png)
で積分を行う.
これより,
を計算することにより,

を求めることができる.
試験を受けるに際して,次のような周期関数をフーリエ級数で表せるようになること.
全く同じ議論が,周期

の関数

についても成り立つ.ただし,展開する関数の集
合--基底関数--は,
となる.このような関数で展開する場合,

は
となる.これが,任意の周期

をもつ関数のフーリエ級数である.
電気の問題でフーリエ級数を使う場合,横軸は

ではなく,時間軸

の場合が多い.そ
して,周期は

ではなく,

である.次の関係
 |
(14) |
に気を付けて,

とする.この場合,展開する関数の集合--基底関数--は,
となる.周期

の関数

は,
となる.
一般には,
や
を基本波と呼び,
の場合の
や
を高調波と呼ぶ.
偶関数や奇関数といった対称性を考えると,より次の積分の関係も得られる.
この対称性を使うと,以下の結果が得られる.
- 周期関数
が偶関数の場合
これをフーリエ余弦級数と呼ぶ.
- 周期関数
が奇関数の場合
これをフーリエ正弦級数と呼ぶ.
ホームページ:
Yamamoto's laboratory著者:
山本昌志
Yamamoto Masashi
平成18年12月1日