ここでは,ある区間で定義された関数をフーリエ級数で取り扱うことを考える.これまで
取り扱ってきた関数は,定義域
![$ [-\infty,\,\infty]$](img7.png)
の周期関数であった.ここでは,定
義域
![$ [0,\,L]$](img8.png)
の有限な区間の関数を取り扱う.この範囲の外側は興味の対象外となり,
その値はどうでもよい.
区間
で定義された関
がある.このとき,
で定義された偶関数
を
 |
(1) |
と定義する.これを周期

の周期関数と考えるとフーリエ級数で表すことができる.す
なわち,区間
![$ [0,\,L]$](img15.png)
で

は
と表すことができる.これを余弦フーリエ級数と言い,
![$ [0,\,L]$](img21.png)
では元の関数

を正しく表して
いる.区間
![$ [0,\,L]$](img23.png)
で関数系

は,完全直交系となっているからである.
完全直交系については,付録
1を見よ.
一方,
で定義された奇関数
として
 |
(3) |
を考えることもできる.

は奇関数なので,区間
![$ [0,\,L]$](img29.png)
で

は
と表すこともできる.これを正弦フーリエ級数と言う.
ここでは,余弦フーリエ級数と正弦フーリエ級数の具体例として図
1のよ
うに
![$ [0,\pi]$](img35.png)
で定義された関数を考える.
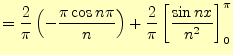
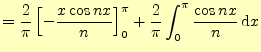
余弦フーリエ級数の係数

は,式
(
4)から直ちに計算できる.
以上より,図
1の余弦フーリエ級数は次のように書くことができる.
図:
区間
で定義された関数
|
|
一方,正弦フーリエ級数は,次のようになる.
以上より,図
1の正弦フーリエ級数は次のように書くことができる.
余談であるが,
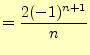
の値を考えると面白い結果が得られる.f(x)での値は
で,
式(8)を使うと,
が得られる.これより,ライプニッツの公式
 |
(10) |
が得られる.この式は感動的である.元々円周率は円の直径と周長の比と幾何学的にで定
義された.それが,このような単純な解析的な式で表せるのである.これで,周長と直径
を測定して円周率を求めることから開放された.
区間
![$ [0,\,L]$](img67.png)
で定義された関数は,ここで示した余弦フーリエ級数や正弦フーリエ級数
の他に,テイラー展開(テイラー級数)で表すこともできる.ただし,フーリエ級数は不連続関数も取り扱
えるが,テイラー展開の場合連続な関数という制限はある.先ほどの例を,それぞれの級
数で展開した場合の比較を図
2に示す.区間
![$ [0,\,\pi]$](img68.png)
では,どれも関数を正
確に記述している.しかし,区間を外れるとその振舞は大きく異なる.
どの方法がよいのだろうか?.それは,取り扱う問題に依存する.諸君は,もっとも適切
な方法を選択すれば良い.この辺の話は,来週の講義で行う.
図:
区間
で
と定義された関数を様々な級数で表す.
|
|
ホームページ:
Yamamoto's laboratory著者:
山本昌志
Yamamoto Masashi
平成18年12月1日