3 フーリエ余弦級数とフーリエ正弦級数

3.1 偶関数と奇関数

関数の対称性を考えると,フーリエ係数を求める積分が容易になることがある.ここでは, 関数の対称性として,偶関数と奇関数を考える.

$ f(-x)=f(x)$ならば偶関数(even function), $ f(-x)=-f(x)$ならば奇関数(odd function) であるという.図34に示すように,偶 関数はy軸について対称,奇関数は原点について対称になる.諸君が知っている関数では, 次のようなものがある.

偶関数の例
$ \qquad\cdots,\,x^{-4},\,x^{-2},\,1,\,x^2,\,x^4,\,\cdots\qquad \cos x\quad\cosh
x\qquad \cdots,\, f(x^{-2}),\,f(x^2),\,f(x^4),\,\cdots$


奇関数の例
$ \qquad\cdots,\, x^{-3},\,x^{-1},\,x,\,x^3,\,\cdots\qquad \sin x\quad\tan x\quad
\arcsin x \quad \arctan x \quad \sinh x\quad \tanh x$


どちらでもない
$ \qquad \arccos x\quad e^x \quad \log x$
偶関数,奇関数の名前の由来???.$ x^n$の関数を考えれれば,偶関数および奇関数のそれが理解できる.$ n$が偶数の時偶関 数,奇数のとき奇関数になる.そうして, ということが分かる.

図 3: 偶関数
\includegraphics[keepaspectratio, scale=1.0]{figure/even_function.eps}
図 4: 奇関数
\includegraphics[keepaspectratio, scale=1.0]{figure/odd_function.eps}
図 5: どちらでもない
\includegraphics[keepaspectratio, scale=1.0]{figure/non_sym_function.eps}

関数同志の演算に関して,次のような関係がある.偶関数であれば $ f(-x)=f(x)$,奇関数 であれば $ f(-x)=-f(x)$から,これは容易に理解できる.

  $\displaystyle +$$\displaystyle \Rightarrow$   $\displaystyle -$$\displaystyle \Rightarrow$   $\displaystyle \times$$\displaystyle \Rightarrow$   $\displaystyle /$$\displaystyle \Rightarrow$      
  $\displaystyle +$$\displaystyle \Rightarrow$   $\displaystyle -$$\displaystyle \Rightarrow$   $\displaystyle \times$$\displaystyle \Rightarrow$   $\displaystyle /$$\displaystyle \Rightarrow$      
  $\displaystyle +$$\displaystyle \Rightarrow$どちらでもない   $\displaystyle -$$\displaystyle \Rightarrow$どちらでもない   $\displaystyle \times$$\displaystyle \Rightarrow$   $\displaystyle /$$\displaystyle \Rightarrow$      

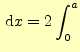
さらに,対称性より次の積分の関係も得られる.積分は$ x$軸との面積になる--というこ とから,これも容易に分かる.

  $\displaystyle \int_{-a}^a$偶関数$\displaystyle \,\mathrm{d}x=2\int_{0}^a$偶関数$\displaystyle \,\mathrm{d}x$   $\displaystyle \int_{-a}^a$奇関数$\displaystyle \,\mathrm{d}x=0$   (6)

3.2 偶関数と奇関数のフーリエ級数

偶関数あるいは奇関数の周期関数は,しばしば出会う.このような場合,フーリエ級数は 少しだけ簡単になる.

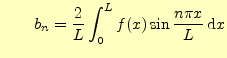
周期$ 2L$の関数$ f(x)$のフーリエ級数は式(5)から計算するこ とができる.ここで,$ f(x)$が偶関数あるいは奇関数の場合を考える.フーリエ係数 $ a_n$$ b_n$は,つぎの積分より求めることができる.

  $\displaystyle a_n=\frac{1}{L}\int_{-L}^{L}f(x)\cos \frac{n\pi x}{L}\,\mathrm{d}x$   $\displaystyle b_n=\frac{1}{L}\int_{-L}^{L}f(x)\sin \frac{n\pi x}{L}\,\mathrm{d}x$   (7)

もし,$ f(x)$が偶関数であれば,

  $\displaystyle a_n=\frac{2}{L}\int_{0}^{L}f(x)\cos \frac{n\pi x}{L}\,\mathrm{d}x$   $\displaystyle b_n=0$   (8)

となる.なぜならば,被積分関数 $ f(x)\cos(n\pi x/L)$は偶関数, $ f(x)\sin(n\pi x/L)$は 奇関数となり,$ y$軸に対して対称と反対称になるからである.一方,$ f(x)$が奇関数であれば,

  $\displaystyle a_n=0$   $\displaystyle b_n=\frac{2}{L}\int_{0}^{L}f(x)\sin \frac{n\pi x}{L}\,\mathrm{d}x$   (9)

となる.これらをまとめると,次の結果が得られる.


フーリエ余弦級数と正弦級数
  • 周期関数が偶関数の場合

    $\displaystyle f(x)$ $\displaystyle =\frac{a_0}{2}+\sum_{n=1}^\infty a_n\cos \frac{n\pi x}{L}$ (10)
      $\displaystyle \qquad a_n=\frac{2}{L}\int_{0}^{L}f(x)\cos \frac{n\pi x}{L}\,\mathrm{d}x$    

    これをフーリエ余弦級数と呼ぶ.
  • 周期関数が奇関数の場合

    $\displaystyle f(x)$ $\displaystyle =\sum_{n=1}^\infty b_n\sin \frac{n\pi x}{L}$ (11)
      $\displaystyle \qquad b_n=\frac{2}{L}\int_{0}^{L}f(x)\sin \frac{n\pi x}{L}\,\mathrm{d}x$    

    これをフーリエ正弦級数と呼ぶ.


ここで,ちょっと余談であるが,面白いことを述べよう.対称性の無い関数$ f(x)$は,式 (5)のようにフーリエ級数で表すことができる.この式の右 辺は,偶関数であるフーリエ余弦級数と奇関数であるフーリエ正弦級数の和になっている. このことは,対称性のない周期関数であろうとも,偶関数と奇関数に分解できることを示 している.すなわち,

任意の周期関数$\displaystyle =$偶関数の周期関数$\displaystyle +$奇関数の周期関数 (12)

である.
ホームページ: Yamamoto's laboratory
著者: 山本昌志
Yamamoto Masashi
平成18年11月7日


no counter