前々回の講義で,任意の関数を冪級数で展開(テイラー展開)した.ここでは,もっとけっ
たいなことを考えて三角関数で展開してみよう.すなわち,
と展開する.最初の項は

のため定数となり,

がその係数である.なんで,
2で割るの???--というツッコミもあるだろう.

としておいても良いが,あとで

とした方が便利なことがある.今は分からないで良いが,取り合えずこういうも
のだと思って,悩まないで欲しい.
この展開式を見て諸君は,展開の係数
と
をもとめることに興味があるだろう.そ
れをぐっと我慢して,まず関数
の右辺の性質を考えることにしよう.関数
は,
の周期性という重要な性質がある.定数項である
は,
としても値は変わらいない.三角関数の項も,
としても値は変わらない.なぜならば,
となるからである.すなわち式(
1)は,
 |
(3) |
となっている.式(
1)のどんな

であろうとも,この関係は成り
立つ.いかなる

に

を加えても関数の値はいつも同じ--ということをしめしてい
る.これを繰り返すと,どんな

に対しても
 |
(4) |
が得られる.明らかに

の周期性がある.これって,どういう意味?--と考える者も
いるだろう.これって,図
1のような意味である.関数が

で繰り返していることを示している.これが

の周期性の意味である.
図 1:
を周期とする関数
|
|
式(1)の
は,
を周期とした任意の関数である.任意
の周期関数は,三角関数の和で表すことができる--と言っている.このように周期関数
を三角関数の和で表すことを,フーリェ級数3(Fourier series)と言う.別の考え方
をすると,区間の幅が
,例えば
のどんな関数でも三角関数の和で表す
ことができると式(1)は言っている.テイラー展開は任意の関数
を冪乗の和で表したが,フーリェ級数は三角関数の和で表す.
フーリェ級数の何がうれしいの?--とツッコミを入れるひともいるだろう.世の中のどん
な周期関数でも三角関数の和で表すことができる--ということ自体,驚くべきことで,
非常に興味深い.実用的な面--工学--を考えると「どんな周期関数でも三角関数を使っ
て計算できる」ということは便利この上ない.諸君がよく知っている三角関数の知識で,
図1のようなけったいな関数の解析ができるのである.後で述べ
ることになるが,不連続な関数も取り扱うことができる.そのため,フーリェ解析は工学
の諸問題のいたるところで,出現する.交流回路の理論の底には,フーリェ解析があり,
諸君は知らないうちにそれを使っている.電気回路4に
限らずフーリェ解析は線形微分方程式を解くための極めて強力な武器なので,物理学や工
学において光や音,振動の問題にひろく利用されている.近年では,コンピュータグラ
フィックスなど分野でもお目にかかる.諸君もフーリェ解析という強力な武器を手に入れ
よう.
任意の周期関数をフーリェ級数を使って解析するためには,式
(
1)の三角関数の係数--
フーリェ係数--

や

を
計算する必要がある.さあ,どうするか?.
-4pt
が有限個の場合,連立方程式から計算できる5.しかし,式
(1)では
は無限であるため,連立方程式はダメだ.
- テイラー展開のように微分をするか;これもダメである.高次の項が都合良く,
ゼロにならない.
今までの方法は無理である.先人たちは,教科書 [
1]p.222の(2)式の積分
を使ってフーリェ係数を求めた.
フーリェ係数を計算する前に,それに必要な積分を示しておく.

と

を自然数として,
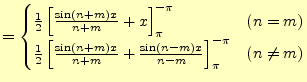
コサインの積を計算する.
同じことをサインの積に対して行うと,
が得られる.残りは,サインとコサインの積である.これは簡単で,

は奇関数,

は偶関数である.その積は奇関数となる.したがって,
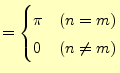
となる.もうひとつ,次の積分
も使う.これで,フーリエ係数を計算する準備ができた.

を計算するためには,式(
1)を区間
![$ [-\pi,\pi]$](img87.png)
で積分を行
う.
これより,
を計算することにより,

を求めることができる.これで,係数のひとつが求まった.
この式をよく見ると,
は
の平均値となっている.電気回路では,この平均
値のことを直流成分と言う.
式(
1)の両辺に

を乗じて区間
![$ [-\pi,\pi]$](img98.png)
で積分を行う--
ことにより,コサインの係数の

を求める.ただし,

は自然数とする.
これより,
を計算することにより,

を求めることができる.ここで,

の場合を考える.そ
うすると,式(
10)と同一の式が得られる.したがって,式(
10)は
式(
12)に吸収され,不要となる.これが,フーリエ級数の最初の項を

と
しないで,

とした理由である.
つぎに,
を求めるために,式(1)の両辺に
を乗じ
て区間
で積分を行う.
これより,
を計算することにより,

を求めることができる.
式(
1)の両辺が等号で結ばれるためには,

の
時左辺が

に収束することを証明しなくてはならない.教科書 [
1]の
p.311-315ページにその証明が載っている.この講義に時間的な余裕があれば,後で証明
する.興味のある者は,自分で勉強せよ.
ホームページ:
Yamamoto's laboratory著者:
山本昌志
Yamamoto Masashi
平成18年12月1日