前回は,これまでの学習の確認試験を行った.統計データについては,後日報告する.
最初に断っておくが,私は数学の専門家ではない.しかし,数学をよく使いいろいろな場
面でお世話になっている.そのため,厳密な証明よりも実際の場面で使えるように直感的
に理解することの方を重要視している.この講義では,分かり難く退屈な証明よりも感覚的
に理解することを目指す.その方が実際の科学技術の問題を数学を使って解決するときに
役に立つ.ただ,厳密な数学の証明が不要というわけではない.それは,数学の講義に任
せることにする.
本日は,三角関数に関する諸公式をオイラーの公式(Euler's formula)より簡単に導く方
法を示す.この講義のメインテーマであるフーリェ解析(Fourier analysis)では三角関数
に係わる計算が多い.三角関数の性質が分かっていないと,計算ができなくなる.そこで,
本日の講義では,以下のような順序で三角関数の諸々の定理を導く.
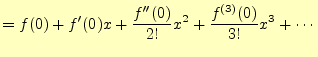
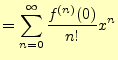
- 任意の関数を冪級数(power series)に展開するテイラー展開(Taylor
expansion),ここではその特別な場合のマクローリン展開(Maclaurin's
expansion)を示す.テイラー展開を用いると,任意の関数
は
と表すことができる.
- 三角関数や指数関数もテイラー展開可能である.それらを,冪級数で表すと
となる.これら,オイラーの公式
 |
(5) |
を導くことができる.
- オイラーの公式から,三角関数に関する諸々の定理--加法定理や倍角の公式など--
をしめす.
これを理解すると,三角関数に係わるいろいろな問題が簡単に計算できるようになる.そ
ればかりではなく,来年学習する複素関数などの学習にもスムーズに移行できるであろう.
さらに,数学のみならず,電気に関係する問題も簡単に計算できるようになる.
ホームページ:
Yamamoto's laboratory著者:
山本昌志
Yamamoto Masashi
平成18年10月27日