一般の偏微分方程式は解くことができないが,波動方程式のような特別な場合は解くこと
ができる.通常,最初に試みる偏微分方程式の解法は変数分離法(method of separation
of variables)である.これが適用できる場合,偏微分方程式は連立の常微分方程式
(ordinary differential equation)に直すことができる.
波動方程式(1)--偏微分方程式のひとつ--の解は,
とそれぞれの変数の積の形に表せると仮定する.このような仮定の元で,解を計算する方
法を変数分離法という.ただし,これがいつも正しいとは限らないので注意が必要である.
ここでの講義の範囲では,常に変数分離法が使えるので,諸君は安心してよい.
解の形が決まったので,元の偏微分方程式に代入する.すると,
 |
(3) |
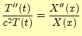
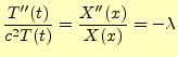
が得られる.これは,
 |
(4) |
となる.この左辺は時刻

のみの関数で,右辺は場所

のみの関数である.これが等し
いということは,両辺の値は定数でなくてはならない.この定数を

とすると,
 |
(5) |
となる.これを整理すると,
という連立常微分方程式になる.
ここで,
は実数とする.複素数と仮定しても,以降では同じような議論ができ
るが,話が複雑になるだけである.
連立の常微分方程式(
6)と(
7)を解く.まずは,式
(
6)からはじめる.このタイプの常微分方程式は,解を
 |
(8) |
と仮定して,

を求める
2方法
が常套手段である
3.この仮
定した解を式(
6)に代入すると,
 |
(9) |
がえられる.整理すると
 |
(10) |
となり,簡単に解ける代数方程式である.いろいろと解を改定することにより,
偏微分方程式

常微分方程式

代数方程式と簡単な方程式に変換され
たのである.この代数方程式の解は,
 |
(11) |
である.これから,元の微分方程式(
6)の解として,次の二つのものが得ら
れる.
| |
 |
|
 |
|
(12) |
いずれも,解になっている.嘘だと思うなら,それぞれの解を元の微分方程式
(
6)に代入してみよ.微分方程式が成り立っていることが確認できるであろ
う.元の微分方程式は線形なので,それぞれの解の和
も解である.これは元の微分方程式(
6)の一般解である.なぜならば,次の
ことが言え,一般解の性質を満たしているからである.
- この解には2個の未知定数が含まれている.
- さらに,元の微分方程式は2階なので,二つの未知定数を含む関数となるべきである.
もちろん,未知数

と

は複素数でも成り立つ.
ここで,教科書にならって,
が正の場合と負の場合について,解を分かり易く書き直
しておく.ただし,
とする.また,先ほど求めた解の式(13)は複素
数まで考えている.しかし,一般に弦の振動は目に見える形なので実数の範囲に限定する
ことにする.そこで,式(13)の実数部を取り出すことにする.
最初に

が正の場合を考える.すると

は正の実数となるので,
 |
(14) |
と書き直すことができる.オイラーの公式を使っただけである.

と

は複素数な
ので,

を実数部と虚数部に分けるために,次のように書き直す.
ここで,

は実数部を,

は虚数部を取り出すと記号である.手書きの場合は,
Reや
Imと書く.弦の振動では,実数部のみを解として採用するので,
 |
 |
(16) |
となる.もっと分かりやすいように書き直すと,
 |
 |
(17) |
となる.これは教科書と同じ形である.

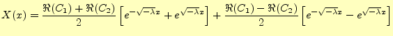
が負の場合

は純虚数になる.少しばかり取扱い易くするため
に,
 |
(18) |
と式を変形する.こうすることにより,

を実数にできる.すると,一
般解の式(
13)は,
 |
(19) |
となる.先ほどと同様に,実数部を解とすると,
 |
(20) |
が解である.これは,
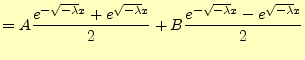
![$\displaystyle X(x)= \frac{\Re(C_1)+\Re(C_2)}{2} \left[e^{-\sqrt{-\lambda}x}+e^{...
...c{\Re(C_1)-\Re(C_2)}{2} \left[e^{-\sqrt{-\lambda}x}-e^{\sqrt{-\lambda}x}\right]$](img62.png) |
(21) |
と変形できる.教科書にならってこれを記述すると,
である.
この場合は,元の微分方程式(
6)から考える.それは,
| |
 |
(23) |
となる.この微分方程式の一般解は,単純で
 |
(24) |
となる.
これまでの解の分類をまとめると
| |
 |
|
の場合 |
|
(25) |
| |
 |
|
の場合 |
|
(26) |
| |
 |
|
の場合 |
|
(27) |
となる.
弦の振動を示す波動方程式を変数分離した場合の空間を表す部分の微分方程式
(
6)の解には3とおりある.しかし,このうちいくつかは,解として不適切で
ある.弦の振動の場合,図
1に示すように弦の両端で固定されている.
固定されている部分では,弦の変位

はゼロである.したがって,
| |
 |
|
 |
|
(28) |
である.この条件--境界条件--を満たすことができるのは,
 |
(29) |
のみである.

の場合は,境界条件をみたしている.

の場合は,
 |
(30) |
となる必要がある.これは,
である.したがって,
が解となる.
時刻の項の常微分方程式(
7)は,境界条件を表す式
(
31)を考慮すると,
 |
(33) |
となる.

は正の実数であるので,一般解は
となる.
式(
2)のように解を変数分離した場合の

の解は式
(
32),

の解は式(
34)と求まった.したがって,波動方程
式の解は,
![$\displaystyle y_n(x,t)=B_n\sin\frac{n\pi x}{L}\left[ a_n\cos\frac{n\pi ct}{L}+b_n\sin\frac{n\pi ct}{L} \right]$](img90.png) |
(35) |
である.これは,
 |
(36) |
と書き直すことができる.ただし,

,

である.

と

の値はは初期条件--教科書では境界条件--によって決めることができる.これは,来
週以降に説明する.
元の波動方程式--偏微分方程式--は線形なので,重ね合わせの原理が成り立つ.すなわ
ち,解は
と書き表すことができる.これがもっとも一般的な形である.
弦の振動を表す波動方程式の一般解の式(
37)を見ると,次のことに気
が付くであろう.
- 空間的な波の形--弦の形--は,三角関数になっている.これは,
という整
数を使って,
と式で表すことができる.
- 時間的には,三角関数で振動している.角振動数は,
という整数を使って
と表すことができる.
このことから,弦の振動は整数

によって特徴付けられる.これをモードと言う.特に

を基本モード(fundamental mode)と呼び,普通の工学の問題ではもっとも重要なモー
ドである.
あとは,黒板に書いて説明する.
ホームページ:
Yamamoto's laboratory著者:
山本昌志
Yamamoto Masashi
平成19年2月22日