図
1に示すように

軸と垂直な弦の振動を考える.

軸からの弦の
変位を

とする.場所

と時刻

を決めたら弦の変位が決まるので,独立変数は

と

となる.そのため,変位は

と表す.ここでは,弦の変位は

の大
きさは,弦の長さ

に比べて十分小さい(

)とする.これを弦の微小振動と言う.これは普
通の弦--例えばギター-- で成り立つことで,後の解析を容易にする.
この弦の振動は,純粋に力学の問題である.この力学の問題を考えるために,図
2のように弦の一部を拡大し,運動方程式を導く.微小長さ
の区間に働く力は,
P点での力 |
|
|
(5) |
となる.三角関数はこのままでは考え難いので,
 |
(6) |
 |
(7) |
とテイラー展開を使う.弦の長さ

に比べて振動の振幅が小さいということは,角度

や

が小さいということである.この場合,

および

となり,高次の項は無視して解析しても大差はない.そこで,三角関数の二次以上を無視すると,
となる.ゆえに,微小長さ

の区間に働く力は,
P点での力 |
|
 |
(9) |
となる.弦は,

軸方向には振動しないので,PとQに働く

方向の力は等しいはずであ
る.すなわち
 |
(10) |
となっている.この

や

は弦を引っ張る力で張力と呼ばれるものである.これは,
弦に渡って等しく,記号

を使うことにする.
いっぽう,弦の傾きもまた
| |
P点での弦の傾き |
|
Q点での弦の傾き |
|
(11) |
と近似できる.さらに,弦の傾きは関数

の

の偏導関数に等しいので,
| |
P点での弦の傾き |
|
Q点での弦の傾き |
|
(12) |
となる.
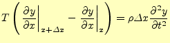
以上で運動方程式(equation of motion)を求める準備ができた.
軸方向は力がつりあっ
て運動が生じないので興味がない.
軸方向の運動を考えることにする.弦の線密度を
とした場合の運動方程式は,
 |
(13) |
となる.ここでも振動の振幅が小さいとすると,
 |
(14) |
となり,さらに式(
12)を使うと,運動方程式は
 |
(15) |
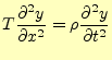
と書き換えられる.左辺をテイラー展開して,第一項のみ取り出すと,
 |
(16) |
が得られる.これを整理すると,
 |
(17) |
となる.教科書のように整理すると,
となる.これは,波動方程式(wave equation)と呼ばれる偏微分方程式(partial differential equation)である.特にこの
場合のように空間が一次元の場合を一次元波動方程式(one dimensional wave equation)
と言う.
後でわかるが,
は弦を伝わる波の速度になっている.
が速度の次元であることを確
かめるために,次元解析を行う.
は長さの次元,
は質量の次元,
は時刻
の次元とすると,
となる.したがって,

は速度の次元を持つ.
一般の偏微分方程式は解くことができないが,波動方程式のような特別な場合は解くこと
ができる.通常,最初に試みる偏微分方程式の解法は変数分離法(method of separation
of variables)である.これが適用できる場合,偏微分方程式は連立の常微分方程式
(ordinary differential equation)に直すことができる.
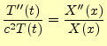
波動方程式(18)--偏微分方程式のひとつ--の解は,
 |
(20) |
とそれぞれの独立変数から成なる関数の積の形に表せると仮定する.このような仮定の元で,解を計算する方
法を変数分離法という.ただし,これがいつも可能とは限らないので注意が必要である.
ここでの講義の範囲では,常に変数分離法が使えるので,諸君は安心してよい.
解の形が決まったので,元の偏微分方程式に代入する.すると,
 |
(21) |
が得られる.これは,
 |
(22) |
となる.この左辺は時刻

のみの関数で,右辺は場所

のみの関数である.これが等し
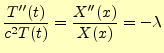
いということは,両辺の値は定数でなくてはならない.この定数を

とすると,
 |
(23) |
となる.これを整理すると,
という連立常微分方程式になる.
これ以降は,来週.
ホームページ:
Yamamoto's laboratory著者:
山本昌志
Yamamoto Masashi
平成19年2月22日