導関数のフーリエ変換は,非常に重要で電気の問題にしばしば表れる.多分,諸君は知ら
ないうちにそれを使っている.ここで,ちゃんとした話としておこう.
導関数
のフーリエ変換を
とする.部分積分を利用すると,
 |
(20) |
が得られる.自然界の物理量

は,

である.したがって,こ
の式の第一項は,ゼロに収束し,
 |
(21) |
となる.ようするに導関数のフーリエ変換は,元の関数の

倍である.

階の
導関数でも同様に,
となる.
図
9のRL直列回路のインピーダンスを考える.インダクタンスを

,
レジスタンスを

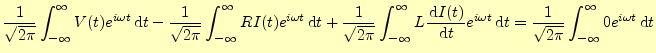
とした場合のキルヒホッフの法則は,
 |
(23) |
となる.ただし,電源の電圧は電流の流れる方向を正としている.電源電圧は時間ととも
に変化する.それにしたがい回路に流れる電流も変化する.これの両辺に

を乗じて区間
![$ [-\infty,\infty]$](img111.png)
で積分を行う.
式(
23)を使って,整理すると
 |
(25) |
となる.ここで,

は

のフーリエ変換,

は

のフーリエ変換である.電源から見た回路のインピーダンス--周波数の関数--は
 |
(26) |
と定義できる.したがって,図
9の電源から見たインピーダンスは,
式(
25)より,
 |
(27) |
となる.電気回路でいつも見る式である.諸君は知らず知らずのうちにフーリエ変換を使っ
ていたのである.
ホームページ:
Yamamoto's laboratory著者:
山本昌志
Yamamoto Masashi
平成19年2月22日