| [問1] |
|---|
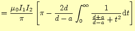
無限に長い直線電流
と同じ平面内に、図のような長方形の回路があり、そこに強さ
の電流を流した。この長方形の回路に作用する力を求めよ。
|
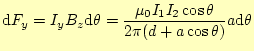
証明はしないが,長方形の回路が作る磁場でそ長方形の形回路に作用する力の大きさの合
計は,ゼロである.もしゼロでないと,自分自身の電流で永久に力を受けることになり,
永久機関が出来てしまう.これは矛盾である.
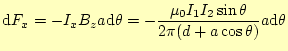
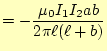
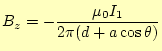
長方形の回路と同一平面で,紙面に垂直方向で紙面から手前に向かう方向がz方向,
B
Cをx方向,B
Aをy方向とする.直線電流の軸をy軸とし,x軸の
原点は直線電流上にあるとする.長方形回路の
での直線電流が作るコイ
ルと同一平面上の磁場は,z方向成分
のみで,その強さはアンペールの法則から,
となる.
コイルに流れる電流は,xおよびy方向である.B
Cをx方向,
B
Aをy方向とする.もちろん,右手系を採用するので,である.
微少電流
が磁場
より受ける力は,ローレンツ力から,
となる.ここで,

である.磁場はz方向のみなので,長方形の
長方形回路に作用するy方向の力は,x方向を向いたADと,CBに流れる電流によるローレンツ力
の和で
となる.ADと,CBに流れる電流によるy方向の力はキャンセルされるのである.次に,BA
とCDのy方向の電流によるx方向の力を計算する.これは,
となる.
| [問2] |
|---|
無限に長い直線電流
と、半径
の円形回路が同一平面におかれていて、その円の
中心から直線電流までの距離は
であり、円形回路内の電流の強さは
であ
るとする。このとき円形回路に作用する力を求めよ。
|
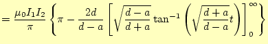
下図のように座標系を決める.
証明はしないが,円形回路が作る磁場でその円形回路に作用する力の大きさの合計は,ゼ
ロである.もしゼロでないと,自分自身の電流で永久に力を受けることになり,永久機関
が出来てしまう.これは矛盾である.
円形回路上の任意の点Pの位置での直線電流が作る磁場は,z方向成分
のみで,その
強さはアンペールの法則から,
となる.P点での円形回路の電流はx成分とy成分に分けることができ,それぞれ
となる.
微少電流
が磁場
より受ける力は,ローレンツ力から,
となる.ここで,

である.したがって,先ほど求めた磁場と電流による力は,
となる.これを
![$ [-\pi,\pi]$](img164.png)
の範囲で積分すれば,円形回路に作用する力が分かる.

を求める被積分関数は奇関数なので,この範囲の積分はゼロになる.一方,

を求め
る被積分関数は偶関数なので,積分範囲を半分にして,それを2倍しても良い.円形回路
のy方向に作用する力は,
となる.
ホームページ:
Yamamoto's laboratory著者:
山本昌志
Yamamoto Masashi
2005-11-15