| [問1] |
|---|
半径
の無限に長い円柱状の導体内を、一様な密度で強さ
の電流が流れているとき、
円柱の内外に生じる磁束密度を求めよ。
|
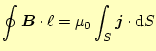
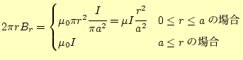
軸対称問題なので,円柱座標系を使うのが簡単である.電流があるときの静磁場は,アン
ペールの法則
を用いると簡単に計算できる.円柱状の導体内部の電流密度

は,

で
ある.当然,導体外部では

となる.
アンペールの法則をストークスの定理を用いて,積分形に書き改めると,
 |
(35) |
となる.円柱の中心を

として,円柱の内部と外部でこれを積分することを考える.
当然,磁場は円柱座標系のr方向成分

のみである.従って,積分は,
 |
(36) |
となる.これから,磁束密度は,
 |
(37) |
と求められる.
| [問2] |
|---|
図の直線電流
のABの部分が、図のP点につくる磁束密度は
で与えられることを示せ。
|
点Oから直線電流に沿った座標を
とする.Aの方向が負でBの方向が正とする.このとき
の微小磁場は,ビオ・サバールの法則より
となる.ここで,P点での磁場は紙面と垂直方向であり,

となる.xの位置によらず磁場の方向は同じなの
で,

とスカラーで書いても良いだろう.微小磁場は,
となる.これを積分すればよいのだが,そのために,
をつかう.これらから,
これらを使うと,
となり,AからBまで積分を行うと,
となる.
ホームページ:
Yamamoto's laboratory著者:
山本昌志
Yamamoto Masashi
2005-11-15