回転についても、発散と全く同じように議論を進める。回転のイメージを持つためには、
流体を考えるのが良いであろう。非圧縮性流体の速度場を考える。速度なのでこれは、ベ
クトル場である。それが回転しているか否かを考えることにする。速度場のベクトルを

で表し、回転

を
と定義する。この積分は図
![[*]](crossref.png)
のように、ベクトル場を線積分する。この積
分は、図
![[*]](crossref.png)
のように、2つに分割しても値は変わらない。
 |
(26) |

で積分するときの経路と

と

で積分するときの経路で異なるのは、分割線の
部分である。ここでは、

と

のベクトル場は同じで、積分の方向が反対である。
それ故.足しあわせるとキャンセルされる。図
![[*]](crossref.png)
分割をもっともっと多くしても、
同じことが成り立つ。
 |
(27) |
発散の時と同様に、無限に多くの分割を行い、それぞれの積分経路の面積をゼロにした極
限を考える。すると、
となる。ここで、
とする。ここで

は、この積分を行う領域の面の法線方向の単位ベクトルで、積分
領域の右ねじの向きとする。右辺はスカラー量なので、

はベクトル量である。
この回転を用いると
 |
(30) |
となる。式(
25)と比べると、
 |
(31) |
である。これをストークスの定理という。これは、「回転と言われる微分の面積分は、そ
の面の縁の線積分に等しいと言っている。
先ほどの勾配でも線績分が現れた。この回転と勾配の関係を考えてみよう。
回転は、式(
29)で定義されるベクトル場の微分である。これをカーテシ
アン座標系で考える。ここに、ベクトル場

があったとし、それが

の関
数であったとする。これを任意の

平面で見ると、図
![[*]](crossref.png)
のよ
うになる。この面の微小領域の回転を考えよう。それは、
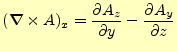
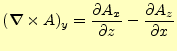
となる。従って、

の回転は、式
(
29)より、
同様に、

や

方向の回転を求めると、
| |
 |
|
 |
|
(34) |
なる。
これは、先週示した式と同じである。また、円柱座標系や極座標系については、私のweb
ページを見よ。
ホームページ:
Yamamoto's laboratory著者:
山本昌志
Yamamoto Masashi
平成19年6月24日