4 磁荷に作用する力

4.1 閉電流と磁気双曲子の等価性

磁荷$ q_m$が作る磁場は

$\displaystyle B=\frac{1}{4\pi}\frac{q_m}{r^2}$ (23)

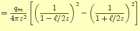
となる。$ \pm q_m$の磁荷を微少距離$ s$だけ離した磁気双極子の磁場を考える。図のz軸 上($ \ell\ll z$)の磁場は、次のようになる。

$\displaystyle B_z$ $\displaystyle = \frac{q_m}{4\pi}\left[\frac{1}{(z-\ell/2)^2}-\frac{1}{(z+\ell/2)^2} \right]$    
  $\displaystyle =\frac{q_m}{4\pi z^2}\left[\left(\frac{1}{1-\ell/2z}\right)^2- \left(\frac{1}{1+\ell/2z}\right)^2\right]$    
     $ (\quad)$内を二項分解、すなわち無限級数の和に分解する    
  $\displaystyle =\frac{q_m}{4\pi z^2}\left[ \left\{1+\frac{\ell}{2z}+\left(\frac{...
...rac{\ell}{2z}\right)^2- \left(\frac{\ell}{2z}\right)^3+\cdots\right\}^2 \right]$    
     二次以上の微少量を無視すると    
  $\displaystyle \simeq\frac{q_m}{4\pi z^2}\left[ \left(1+\frac{\ell}{z}\right)-\left(1-\frac{\ell}{z}\right) \right]$    
  $\displaystyle \simeq\frac{2q_m\ell}{4\pi z^3}$ (24)

磁気双極子が作る磁場は、距離の3乗で小さくなる。単極子(1重極)は距離の2乗で、 双極子(2重極子)は距離の3乗で小さくなる。

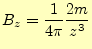
ここで、磁気双極子モーメント$ m$

$\displaystyle m=q_m\ell$ (25)

とする。この場合、z軸上の磁場は、

$\displaystyle B_z=\frac{1}{4\pi}\frac{2m}{z^3}$ (26)

となる。

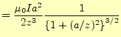
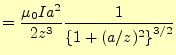
一方、半径$ a$の円電流がz軸に作る磁場は、前回のビオ・サバールの法則を応用する問題 で示したとおり、

$\displaystyle B_z=\frac{\mu_0}{2}\frac{a^2I}{(z^2+a^2)^{3/2}}$ (27)

となる。先ほど同様に、コイルから離れた場合($ a\ll z$)には、

$\displaystyle B_z$ $\displaystyle =\frac{\mu_0}{2}\frac{a^2I}{(z^2+a^2)^{3/2}}$    
  $\displaystyle =\frac{\mu_0Ia^2}{2z^3}\frac{1}{\left\{1+(a/z)^2\right\}^{3/2}}$    
  $\displaystyle =\frac{\mu_0Ia^2}{2z^3}\frac{1}{\left\{1+(a/z)^2\right\}^{3/2}}$    
     テイラー展開する    
  $\displaystyle =\frac{\mu_0Ia^2}{2z^3}\left[ 1-\frac{3}{2}\left(\frac{a}{z}\righ...
...ft(\frac{a}{z}\right)^4 -\frac{35}{16}\left(\frac{a}{z}\right)^6+\cdots \right]$    
     二次以上の微少量を無視すると    
  $\displaystyle \simeq\frac{\mu_0Ia^2}{2z^3}$    
  $\displaystyle \simeq\frac{1}{4\pi}\frac{2\mu_0I\pi a^2}{z^3}$ (28)

となる。ここで、

$\displaystyle m=\mu_0IS$ (29)

とすると、円電流と磁気双極子がつくる遠方の磁場は同一となる。ただし、$ S$はコイル の面積($ \pi a^2$)である。

z軸上の遠方では、円電流と磁気双極子のつくる磁場は同一となることが分かった。証明 はしないが、z軸に限らずいかなる方向でも同じ磁場分布となる。このようなことから、 実際の磁場は、磁荷が作るのではなく円電流が作ると考えることができる。原子の中の電 子が回転することによる円電流が小さな磁場をつくるのである。原子が大量にあり、同じ 方向に磁場を作れば、それらは重ね合わせられ、強力な磁場を発生する。これが磁石とな る。

4.2 磁荷に作用する力

この辺りは教科書を使って説明する。
ホームページ: Yamamoto's laboratory
著者: 山本昌志
Yamamoto Masashi
平成19年6月24日


no counter