Subsections
このあたりの説明は,参考文献 [
1]を大いに参考にした.これは分
かりやすい教科書なので,読んでみると良いだろう.
1次元波動方程式を数値計で解くことを考える.その前に,解くべき方程式と条件をきち
んと書いておく.解くべき方程式と条件は,
となる.弦を伝わる波の速度は1,弦の長さも1としている.この最初の式は波動方程式で
あるが,2番目を初期条件,3番目を境界条件と言う.2番目の初期条件は,

の時の弦
の状態を示しており,

はそのときの弦の形(変位),

は弦の変位の速度で
ある.
波動方程式の他に,初期条件と境界条件がある.力学的状態は,ある時刻,ここでは
の時の変位とその変位の速度が決まれば,それ以降を決めることができる.振動の
場合は,これに加えて更に,振動の境界条件を決める必要がある.これらが決まって初め
て,波動方程式とともに,振動の状態,ある時刻と位置の変位の値が決まるわけである.
図4に初期条件と境界条件の様子を示す.
図 2:
時刻
のときの弦の様子(スナップショット).初期条件と境界
条件が表されており,y方向の速度が
になっている.
|
|
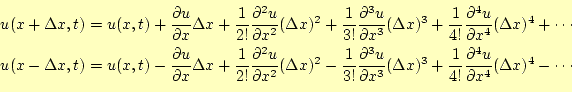
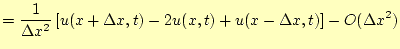
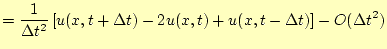
まずは,波動方程式を差分方程式に書き直すことからはじめる.これも,いつものように,
解
をテイラー展開する.x方向の微小変位を
,時間軸方向の微小変位
を
とする.すると,
となる.これらの式の辺々を足し合わせえると,
が得られる.このことから,2階の偏導関数の値は微小変位

の場所の関数の
値を用いて,

の精度で近似計算ができることが分かる.すなわち,式(
6)の右辺の第1項を計算すればよいのである.ラプラス
方程式と同じである.同様なことを時間軸方向についても行うと
が得られる.
これらの式(6)と(7)を元の波動
方程式(4)に代入すれば,
となる.これが,1次元波動方程式の差分の式である.この式を計算し易いように,もう
少し変形すると,
とすることができる.この式の右辺は,時刻

と

の値でである.そして,
左辺は時刻

の値である.このことから,式(
9)を用いると,時
刻

と

の値から,

の値が計算できることになる.
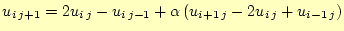
実際に式(9)を数値計算する場合,x方向には
,時間軸方向には
毎に分割する.ラプラス方程式を格子点で分割したのと同じである.格子点に
分割し数値計算する場合,
や
と表現するよりは,
と表現したほうが便利である.そこで,
と表現を改める.このようにすると,式(
9)は
となり,数値計算し易い形になる.ただし,
 |
(12) |
である.
この式を用いた計算の様子を図3に示す.
波動方程式というけったいな偏微分方程式が,ただ単に数値を順番に代入していく式に変
換されたわけである.この計算は非常に簡単である.ただ,時間領域を1000分割
(
),x軸領域も1000分割(
)すると,100万回の計算が必要であるが,
コンピューターにとって,その程度の計算は大したことはない.
式(
11)を計算すると,

の状態から,時間の経過によって弦の様子が
どうなるか分かる.以下のように,芋づる式に,弦の変位が計算できるわけである.
このように,計算を盲目的に進めれば,弦の振動の式(
4)
の数値計算の結果である近似解が得られる.当然,境界条件
 |
(13) |
を,忘れてはならない.
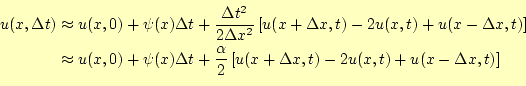
これを計算するためには,まず,
の値を決める
必要がある.これ以前の状態が分からないので,式(11)は使えないが,式
(4)の初期条件が使える.すなわち,
 |
(14) |
である.
次に,
を計算するわけであるが,まだ,式
(11)は使えない.なぜならば,この式は2つ前の状態まで必要なので,こ
れまでのところ,一つ前の状態しか分かっていないからである.そこで,2番目の初期条
件(変位の速度)を使うことになる.計算したい量は
なので,とりあえず
テーラー展開してみる.これを,
の周りでテーラー展開すると,
となる.この右辺の第1と2項は簡単に計算できる.問題は第3項であるが,これは見覚え
のある式である.式(
6)と同じである.これを代入すると,
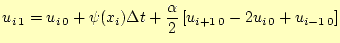
となる.これは,めでたい式である.右辺は,

のみの値で構成されている.これで,

が計算可能になった.この式から,
![$\displaystyle u_{i\,1}=u_{i\,0} +\psi(x_i)\Delta t +\frac{\alpha}{2}\left[ u_{i+1\,0}-2u_{i\,0}+u_{i-1\,0}\right]$](img45.png) |
(17) |
が得られる.
以上より,
と
が得られたわけである.
以降は,
式(11)に従い,計算すればよい.
今までの議論で定在波の取り扱いは可能であろう.そこで,進行波の記述方法について,
コメントしておく.進行波を数値計算すると面白いのでその方法を示す.進行波を記述す
るためには,初期条件さえ記述すれば,後の差分方程式は同じである.その初期条件の記
述の仕方を示す.
元の波動方程式
 |
(18) |
には,明らかに,ダランベールの解
 |
(19) |
というものがある.これは元の波動方程式に代入すれば,それを満足していることは直ち
に理解できる.ここで,

はx軸を正の方向に進む進行波(forward wave)で,

は負の方向に進む後進波(backward wave)である.
初期条件
の波がx軸を正の方向に進む進行波として取り扱うには,どうしたらよいだろうか?.のこ
る条件は,
 |
(21) |
である.進行波になるように,

を決めればよい.

を進行波と仮定する
と,式(
20)から
となる.この式を使って,

を求めることにする.

の定義より,
となる.進行波にするためには,

は

の導関数ににすればよいのである.
念のため言っておくが,後進波にするためには
 |
(24) |
とすればよい.
ホームページ:
Yamamoto's laboratory著者:
山本昌志
Yamamoto Masashi
2006-02-07