Subsections
倍精度実数型(
double)のいろいろな誤差を,実際のプログラムで体験してもらう.
先程述べたように,実数は有限のビット数で表現されるため,2進数での桁数が無限に必
要な場合はメモリー中のデータには誤差が含まれる.この誤差を丸め誤差(rounding error)と
言う.以下のプログラムを実行して,それを確認せよ.
- 9行
- %80.75fは80カラム用意して,小数点以下75桁で表示せよという意味.
1 #include <stdio.h>
2
3 int main(void){
4
5 double x;
6
7 x=0.3;
8
9 printf("%80.75f\n",x);
10
11 return 0;
12 }
練習問題
- [練習1]
- リスト2を書き換えて,誤差が生じ
ない例を探せ.
- [練習1]
- 倍精度実数型で1以上の整数の場合はどうなるか?.プログラ
ムを書き換えて調べよ.
倍精度実数型の精度は,およそ

と先ほど述べた.この精
度よりも大きさの差(絶対値)が小さい2つの実数の和と差の演算はできない.このことを
以下のプログラムで確認する.
zの値は,
xの値に1000000回
yの値を加算
するプログラムとなっている.すなわち,
 |
(5) |
である.計算結果がどうなるか確認せよ.
1 #include <stdio.h>
2
3 int main(void){
4
5 double x, y, z;
6 int i;
7
8 x=1.0;
9 y=1e-17;
10
11 printf("%80.75f\n",x);
12 printf("%80.75f\n",y);
13
14
15 z=x;
16 for(i=1;i<=1000000;i++){
17 z+=y;
18 }
19
20 printf("%80.75f\n",z);
21
22 return 0;
23 }
練習問題
- [練習1]
- リスト3を書き換えて,誤差が生じ
ない例を探せ.
- [練習2]
- 積や商の場合はどうか?.調べよ.
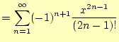
三角関数を計算する場合,以下のような級数を使う.
コンピューターでは無限級数を計算することはできない.これをきちんと計算するために
は,無限界の計算回数が必要で,無限の時間がかかる.それに,精度が有限であるため,
ある程度以下の計算は無意味である.そのため,精度内に計算が収まったら,計算を止め
るようになっている.途中で計算を打ち切るので,この誤差を
打ち切り誤差と言う.
ホームページ:
Yamamoto's laboratory著者:
山本昌志
Yamamoto Masashi
2006-02-06