この辺をきちんとすると、かなりの数式を羅列する事になってしまう。そこで、ここでは
教科書に沿って、直感的なイメージを大切にして、説明する。
定常電流の作る磁場を実験でいろいろ調べてみると、図
6のようになっていることが
分かった
7。ちょうど、電流が流れる方向とねじの方向を一致させると、磁場の方
向は右ねじの回転方向と一致する。これを右ねじの法則といい、電流と磁場の方向を示し
ている。
1本の長い電線が作る磁場を考えよう。磁場は、電線の
周りに回転としてできる。このような場合、どのような微小の体積を考えても、
その発散はゼロである。要するに、どんな部分をとっても、入ってくる磁場の
フラックスと出て行くフラックスは等しい。すなわち、
 |
(6) |
である。これは、たとえ、電線を取り囲んだ体積を考えても、そうなる。この左辺は、ガ
ウスの発散定理
 |
(7) |
が成立する。したがって、
 |
(8) |
である。これはいかなる領域でも成立するので、
 |
(9) |
となる。磁場の発散はなく、必ず磁場は元に戻ることを言っている。
電場の場合は、電荷から電気力線が出ていて、どこか無限遠点に行くか、反対の電荷に吸
収されていた。磁場の場合、磁力線は閉じた線である。このことは、電荷に相当する磁荷
は無いと言っている。
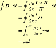
前節の結果から、磁場の発散は分かった。磁場を決めるためには、回転を求める必要があ
る。そのために、図
7のような経路で積分を行う。電流は無限に長い
直線とする。この場合の磁場は、式(
5)を使え
ばよい。半径

での線積分は
となる。この結果は、磁場が直線電流からの距離の

に比例することから、
容易に予想できる結果である。重要なことは、直線電流からある距離離れた磁
場の線積分は、距離に依存しないことである。
これは、ガウスの法則、点電荷の作る電場の面積分が、距離に依存しないのと同じである。
この場合も、最初、球の中心に点電荷を置き、一般的に閉じた面で成り立つことを示した。
同じことを、ここでも行う。次に、積分路を図8のように変形させると、
と書くことができる。磁場
の方向、すなわち
の方向は、
に平行で、
と
には垂直となる。したがって、積分は先ほどと同じで、
となる。図
9のように積分路を変更しても同じである。これまで
の結果から、閉じた線路での積分はいつも同じ値になることが分かる。
今までは、1本の直線電流であったが、磁場は重ねあわせができるので、複数本でも成り
立つ。あるいは、電流がデルタ関数のように離散的ではなく、連続的な分布、密度
として存在する場合も成り立つ。これらは、磁場が重ね合わせの原理が成り立
つからである。さらに、証明はしなかったが電流が曲線であっても成立する。このことか
ら、
が成り立つ。これを積分形のアンペールの法則と言う。右辺は、線積分を囲む電流の総和
になっていることに注意が必要である。
ところで、この積分の外側の電流の寄与はどうなるのであろうか?。外側の電流であろう
とも、この積分路には磁場を発生させる。結論を先に言うと、
- 外側の電流による磁場はあるが、積分を行うとゼロになる。
である。このことは、電荷でやったのと同じことを行えばよい。図
12の通りである。
諸君は、ストークスの定理を知っている。それを使うと、式(
12)
の左辺は、
 |
(13) |
となる。これから、積分形のアンペールの法則は、
 |
(14) |
と書き改められる。この式は、任意の面で成り立つ。そのためには、
となる必要がある。これがアンペールの法則の微分形である。全てが場の量となっている
ので、理論的には扱いやすくなる。
このアンペールの法則の言っていることは、電流が磁場の回転を作っている。
ホームページ:
Yamamoto's laboratory著者:
山本昌志
Yamamoto Masashi
平成19年6月24日