力学のエネルギー保存則はよく知られている.また,これまでの自然科学の学習の経験か
らエネルギー保存則はどのような場合でも成立することは分かっていると思う.ここでは,
力学と電磁気学を含めた系でもそれが成立することを示す.
エネルギー保存則については,完全に教科書に沿って説明しよう.電磁場中での運動方程
式も教科書に沿って
 |
(10) |
とする.相対論的補正は加味されていないが,それを入れても同じ結果が得られる.
電磁場中に2つの電荷があったとする.それぞれの電荷量を
と
,質量を
と
とする.それぞれの運動方程式は,
| |
 |
(11) |
| |
 |
(12) |
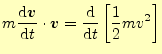
となる.このての方程式を積分するときは,両辺に

の内積を乗じるのが常套手段
である.そうすると,
![$\displaystyle m\frac{\mathrm{d}\boldsymbol{v}}{\mathrm{d}t}\cdot\boldsymbol{v}= \frac{\mathrm{d}}{\mathrm{d}t}\left[\frac{1}{2}mv^2\right]$](img35.png) |
(13) |
となる.本当にそうなるかは,

に注意して,右辺を微分してみれ
ば分かる.したがって,先の運動方程式は
となる.ここでは,

と

は直交することを利用した.この式
は,磁場

は電荷にエネルギーを与えることが出来ないと言っている.左辺の括弧
内は運動エネルギー

を表している.両辺を積分すると,

となり,運動エネルギーの変化は電場と変位の内積となる.
運動エネルギーに磁場は全く寄与しないのである.それならば,発電機はどうなっている
のか?と言う疑問が湧くであろう.これについては,前回の授業で述べたはずである.こ
こでは,運動エネルギーについてのみ述べたが,ポテンシャルエネルギー(位置エネルギー)
を含めても同じことが言える.
系全体の運動エネルギーの変化と電磁場の関係が見るために,先ほどの2つの運動方程式
を足しあわせよう.この操作をするときに,荷電粒子は大きさを持つものとし,その電荷
密度を
とする.したがって,電流密度は
となるので,これを
考慮すると,
![$\displaystyle \frac{\mathrm{d}}{\mathrm{d}t} \left[\frac{1}{2}m_1v_1^2+\frac{1}...
...right] =\int_V(\boldsymbol{j}_1+\boldsymbol{j}_2)\cdot\boldsymbol{E}\mathrm{d}V$](img47.png) |
(16) |
となる.当然,積分領域は考えている系全体である.
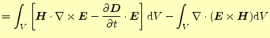
次に,マクスウェルの方程式の式(4)を使う.すると,
 |
(17) |
となる.教科書には,この式の右辺は2粒子の作る場と書いてあるが,それは場の一部に
すぎない.この式は,右辺のように電磁場を微分するとそれは電流密度
になると言っているだけである.その電磁場は当然,2粒子が作るものも含まれるが,ほ
かの理由により存在する電磁場も含む.この式を使うと,2粒子の運動エネルギーに関す
る式は
 |
(18) |
となる.この式の左辺は運動エネルギーに,いっぽう右辺は電磁場に関するものである.
だんだんと,力学的なエネルギーと電磁場のエネルギーの関係に近づいたことが実感出来
るであろう.
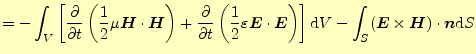
さて,
 |
(19) |
のようなベクトル恒等式がある
4.これを用いると,
となる.左辺は粒子の運動エネルギーの変化を表している.右辺第一項は電磁場のエネル
ギーの変化である.第二項は,エネルギーの流れを表している.この辺の事情については
後で述べることにする.この式は,
と書き改めることができる.それぞれの項は,
| |
 |
|
粒子の運動エネルギー
![$ \mathrm{[Jule]}$](img60.png) |
|
| |
 |
|
磁場のエネルギー密度
![$ \mathrm{[Jule/m^3]}$](img62.png) |
|
| |
 |
|
電場のエネルギー密度[
![$ \mathrm{Jule/m^3]}$](img64.png) |
|
| |
 |
|
単位面積あたりのエネルギーの流れ
![$ \mathrm{[Watt/m^2]}$](img66.png) |
|
|
を意味している.運動エネルギーについては,力学で学習したとおりである.電磁場のエ
ネルギーに関しては静電場での話と同じである.最後の項のみここで追加されたことにな
る.エネルギー保存則を満足させるためには,最後の項はエネルギーの流れ
![$ \mathrm{[Watt/m^2]}$](img66.png)
となる必要がある.

と

の単位から考えるとエネ
ルギー密度の流れになっている.本当にエネルギーの流れになっているかは,
実験で確かめる必要がある.いろいろな実験の結果,この式がエネルギーの流れを表して
いることが確かめられているのである.このエネルギーの流れのベクトル
 |
(22) |
は,発見者の名から,ポインティングベクトルと呼ばれている.
これらのエネルギーの関係は,図1のように表すこと
ができる.
ホームページ:
Yamamoto's laboratory著者:
山本昌志
Yamamoto Masashi
平成18年7月13日