式(
5)は,無限に長い電流が作る磁場である.これが
分かると,微小な長さ

が作る磁場の式が欲しくなる.磁場は全ての電流を積分
して得られる--となると理論を考えるのに大変都合が良い.図
13のような状況を考える.図中の点

の作る磁場は,
式
5から分かっている.ここの磁場は,

が
作る磁場

を足しあわせたもの--積分--になるはずである.したがって,
 |
(16) |
となる

があるはずである.このように表すと,

が作る磁場

は
 |
(17) |
となる.ここまでくれば,

の関数形を求めることあ重要な問題となる.
ビオとサバールはここまで考えて歴史に名前を残した.だれでもここまでたどり着ければ,
関数形を見つけることはできるであろう.科学史に名前を残すためには,時代の最先端に
たどり着くことが如何に大事か--がわかる.
がベクトルなので,
もベクトルになる必要がある.幸いな
ことに,磁場
は電流
とも位置
にも垂直である.そこで,微小磁場
は,ベクトル積
に関係がある--と類推できる.また,遠
距離
が離れると,磁場が小さくなることも理解できるであろう.問題は距離の何乗で
小さくなるか?--である.ここでは,距離の2乗としてみよう.間違っていれば,1乗に
したり,3乗にしてみて,正しい関数形を探せばよい.科学史に名前を残すことを考える
と,これくらいの努力をしてもよいだろう.これまでの直感から,
 |
(18) |
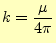
とかける.比例定数の

は後から調整すればよい.
この式を地道に積分を行う.計算する積分は
 |
(19) |
である.ベクトルの積分となっており,通常はやっかいである.しかし,幸いなことに,

と

はいつも同じ平面内にあり,

の位置が変わってもベクトル積の向
きは変化しない.したがって,スカラーの積分を行った後,方向を考えればよい.
この結果と式(
5)を比べる.先の述べたように方向
は合っている.また,係数

を
 |
(21) |
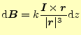
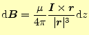
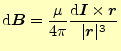
とすれば,大きさも合う.したがって,微小領域

がつくる微小磁場

は
 |
(22) |
と考えても良い.普通,これをビオ-サバールの法則と言う.また,

を

として,
と書かれる場合もある.
ホームページ:
Yamamoto's laboratory著者:
山本昌志
Yamamoto Masashi
平成18年6月22日