1 波動方程式とは

ラプラス方程式が済んだので,次に波動方程式に移ろう.その前に,2階の偏微分方程式 の種類について説明しておく.2階の偏微分方程式は,ラプラス方程式のように楕円型, 次に学習する波動方程式のような双曲型,学習はしないが拡散方程式のような放物型に分 けられる.これが,2階の偏微分方程式の代表的な型である.これらの解法を知っておけ ば,自然現象の多くの問題を計算することができる.いうなれば,超基本の方程式である.

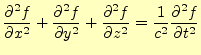
波動方程式は,名前が表しているように波の方程式である.自然科学では,波を扱うこと が非常に多い.光,電磁波,量子力学等の問題は全て波を取り扱っている.いろいろな場 面で出くわす波の方程式は簡単で,

$\displaystyle \frac{\partial^2 f}{\partial x^2}+ \frac{\partial^2 f}{\partial y...
...rac{\partial^2 f}{\partial z^2}= \frac{1}{c^2}\frac{\partial^2 f}{\partial t^2}$ (1)

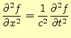
と書き表すことができる.$ c$は波の速度である.これは,3次元の場合で,時間を入れる と4次元の方程式になり,ちょっと計算するには複雑である.そこで,ここでは空間1次元, 時間1次元の2次元の方程式

$\displaystyle \frac{\partial^2 f}{\partial x^2}= \frac{1}{c^2}\frac{\partial^2 f}{\partial t^2}$ (2)

を数値計算で解くことを考える.

皆さんは,フーリエ級数を学習したときに,この方程式を解いたとはずである.ここでは, 数値計算により近似解を得る方法を学習する.もちろん,フーリエ級数で解いた解は,解 析解で完璧である.ただ,フーリエ級数が適用できるのは,空間が1次元の場合である.2 次元以上になると境界条件が簡単な場合に限り,フーリエ級数を用いて計算できる.境界 が複雑になると,数値計算で近似解を求めることが重要になる.数値計算は,空間が2次 元以上の問題で威力を発揮することになるが,ここでは学習のため,空間が1次元の問題 を解くことにする.

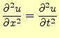
具体的な問題を例にして,学習を進める.比較的単純な問題として,図1の ような弦の振動を考える.これは,ギターのように両端が固定された弦である.ある時刻 $ t$の位置$ x$の変位を$ u(x,t)$としている.この変位は波動方程式,

$\displaystyle \frac{\partial^2 u}{\partial x^2}= \frac{\partial^2 u}{\partial t^2}$ (3)

を満たす.ただし,波の速度は$ c=1$とした.こうしても,波動方程式を解くと言う意味 はそうは変わらないし,計算が楽になるメリットはある.
図 1: 時刻tの弦の様子.
\includegraphics[keepaspectratio, scale=0.85]{figure/gen.eps}



ホームページ: Yamamoto's laboratory
著者: 山本昌志
Yamamoto Masashi
平成19年1月29日


no counter