4 ロンバーグ積分法

これについては,各自,勉強してください.文献 [1]から式のみを引用する. 台形公式を組み合わせて,積分の精度を上げていくものである.

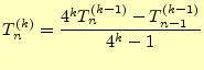
$\displaystyle T_n^{(k)}=\frac{4^k T_n^{(k-1)}-T_{n-1}^{(k-1)}}{4^k-1}$ (26)

$ k$が大きくなると,高次の誤差項がなくなり,精度が向上する.$ k=1$のときシンプソンの公式

$\displaystyle T_n^{(1)}=\frac{4^k T_n^{(0)}-T_{n-1}^{(0)}}{3}$ (27)

となる.


ホームページ: Yamamoto's laboratory
著者: 山本昌志
Yamamoto Masashi
平成19年1月19日


no counter