1 一階線型常微分方程式
通常,回路の動作は微分方程式で表す.コイルやコンデンサーが同時に回路に含まれない
場合,
のような一階線型同次常微分方程式になることが多い.

の場合を同次,

の場合を非同次と言う.
同次の場合は変数分離形なので,それは簡単に一般解が求められる.この場合,一般解
は
 |
(2) |
である.ここで,

は任意定数である.
非同次の場合は少し難しくなり,いろいろな方法がある(たとえば, [1]
に見よ).ここでは,式(1)の両辺に適当な関数
を乗じ
て,変数分離形にする.そうすると,左辺は
となる.この
左辺が
となれば,変数分離形となり容易に計算できる.このように
変数分離形になるためには,
 |
(3) |
であればよい.これはちょうど変数分離形になっており,
である.この関数を元の微分方程式の両辺に乗じることになるので,積分定数は省いてい
る.
変数分離形にするために,式(4)を
式(1)の両辺に乗じると
 |
(5) |
となる.先に示したように

なので,
![$\displaystyle \left[y\varphi(x)\right]^\prime=Q(x)\varphi(x)$](img287.png) |
(6) |
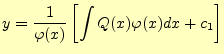
である.これもまた,変数分離形なので,積分は簡単である.積分の後,整理すると,
![$\displaystyle y=\frac{1}{\varphi(x)}\left[\int Q(x)\varphi(x)dx+c_1\right]$](img288.png) |
(7) |
となる.したがって,元の微分方程式(
1)の一般解は
![$\displaystyle y=e^{-\int P(x)dx}\left[\int Q(x)e^{\int P(x)dx}dx+c_1\right]$](img289.png) |
(8) |
である.
ホームページ:
Yamamoto's laboratory著者:
山本昌志
Yamamoto Masashi
平成18年7月3日