[
Previous:
3 実験方法
] [
Up:
2 LCR回路の過渡応答
] [
Next:
5 考察課題
]
4
結果
測定した全ての項目について,理論値と実測値の表を完成させること.
測定した全ての項目について,理論値と実測値のグラフを作成すること.
CR回路とLR回路の過渡応答のグラフから時定数
をもとめ,理論値と比較すること.
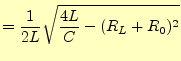
LCR回路で振動する場合の波形より,周期
を求め,理論値と比較すること.
ホームページ:
Yamamoto's laboratory
著者:
山本昌志
Yamamoto Masashi
平成18年7月3日