三角関数の計算は厄介なので,指数関数を使った方が便利なことが多い.そこで,複素数
の指数関数を使ったフーリエ級数を考える.そのためには,2回目の講義で述べたオイラー
の公式
が重要な役割を果たす.これから
を直ちに導くことができる.これを,フーリエ級数の式(
7)に代
入すると,
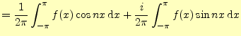
となる.これは,いままでと同一の式である.左辺は実数で,右辺の値も実数となる.右辺に
は虚数部が含まれるが,それはキャンセルされてゼロとなる.ここで,
とする
4.すると,かなり形式的ではあるが,
 |
(25) |
が得られる.これを複素フーリエ級数という.フーリエ係数

は,実数のフーリエ級数の係
数を求める式から得ることができる.

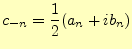
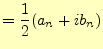
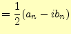
は次のようする.

は次のようにする.

も同様である.
よく見ると,係数を計算する3つの式(
27)(
28)(
29)は,
 |
(29) |
とまとめることができる.
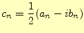
そして,
と
は複素共役の関係
 |
(30) |
がある.

が計算できれば

は直ちに求めることができる.
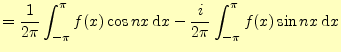
区間
で定義された関数
の場合,ほとんど同じ議論で,
 |
(31) |
となる.係数は,
 |
(32) |
と導くことができる.
|
まとめ(複素フーリエ級数)
- 区間
で定義された関数 は,複素フーリエ級数で表すことができる.
係数は,つぎのようになる.
- 区間
で定義された関数 は,複素フーリエ級数で表すことができる.
係数は,つぎのようになる.
|
ホームページ:
Yamamoto's laboratory著者:
山本昌志
Yamamoto Masashi
平成18年12月1日