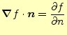
ベクトル解析の恒等式
の両辺を体積積分する。左辺にはガウスの定理を用いると、
 |
(6) |
である。これで、式(
3)が証明できた。
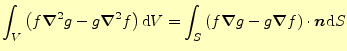
式(5)と、これの
と
を入れ替変えたの辺々を引き
算すると、
 |
(7) |
となる。同じように体積積分をしてガウスの定理を使うと、式(
4)を得る
ことができる。
グリーンの定理は、
 |
(8) |
として、
 |
(9) |
 |
(10) |
と書かれる場合もある。
ホームページ:
Yamamoto's laboratory著者:
山本昌志
Yamamoto Masashi
平成19年6月24日