8 ラプラス演算子

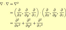
ベクトル演算子同士の内積をとった結果、

\begin{equation*}\begin{aligned}\nabla\cdot\nabla &=\nabla^2 &=\left( \frac{\p...
...l^2}{\partial y^2}+ \frac{\partial^2}{\partial z^2} \end{aligned}\end{equation*}

の新しくできる演算子をラプラス演算子(ラプラシアン)と言う。$ \nabla^2$の 代わりに$ \Delta$と書くこともある。

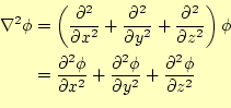
これは、見て分かるようにスカラー演算子である。スカラー演算子であるため、 スカラーやベクトルに作用することができる。スカラー場$ \phi$に作用すると、 次のようなスカラー場ができる。

\begin{equation*}\begin{aligned}\nabla^2\phi &=\left( \frac{\partial^2}{\partial...
...\partial y^2}+ \frac{\partial^2 \phi}{\partial z^2} \end{aligned}\end{equation*}

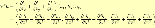
ベクトル場 $ \boldsymbol{h}$に作用すると、次のようなベクトル場ができる。

\begin{equation*}\begin{aligned}\nabla^2 \boldsymbol{h} &=\left( \frac{\partial^...
...l y^2}+ \frac{\partial^2 h_z}{\partial z^2} \right) \end{aligned}\end{equation*}

先にも述べたように、このように単純に計算できるのはカーテシアン座標系の場合に限ら れる。ほかの曲線座標系のラプラス演算子は複雑である。円柱座標系と球座標系について は、詳細は、私のwebページに載せている。

http://www.akita-nct.jp/~yamamoto/study/electromagnetics/laplacian/html/index.html
を参考にせよ。


ホームページ: Yamamoto's laboratory
著者: 山本昌志
yamamoto masashi
平成17年5月14日


no counter