5 ベクトル場の発散

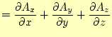
ベクトル演算子 $ \boldsymbol {\nabla }$ とベクトル場 $ \boldsymbol{A}$とのスカラー積を考えることがで きるだろう。これは、

$\displaystyle \boldsymbol{\nabla}\cdot\boldsymbol{A}$ $\displaystyle =\left( \if 11 \frac{\partial }{\partial x} \else \frac{\partial^...
...al z} \else \frac{\partial^{1} }{\partial z^{1}}\fi \right) \cdot\boldsymbol{A}$    
  $\displaystyle = \if 11 \frac{\partial A_x}{\partial x} \else \frac{\partial^{1}...
...frac{\partial A_z}{\partial z} \else \frac{\partial^{1} A_z}{\partial z^{1}}\fi$ (17)

となる。これは、発散と呼ばれるスカラー場である。ベクトル演算子とベクトル場のスカ ラー積なので、スカラー量になると覚える。実際に、スカラー量になることの証明は、諸 君に任せる。

この量の物理的意味は、来週の積分の演算を通して示す。



ホームページ: Yamamoto's laboratory
著者: 山本昌志
yamamoto masashi
平成17年5月14日


no counter