先の練習問題、弦を三角形に張った後の様子は、定在波である。ここでは、進
行波の記述方法について、コメントしておく。進行波を数値計算すると面白い
のでその方法を示す。進行波を記述するためには、初期条件さえ記述すれば、
後の差分方程式は同じである。その初期条件の記述の仕方を示す。
元の波動方程式
 |
(1) |
には、明らかに、ダランベールの解
 |
(2) |
というものがある。これは元の波動方程式に代入すれば、それを満足している
ことは直ちに理解できる。ここで、
はx軸を正の方向に進む進行波
(forward wave)で、
は負の方向に進む後進波(backward wave)である。
初期条件
の波がx軸を正の方向に進む進行波として取り扱うには、どうしたらよいだろ
うか?。のこる条件は、
 |
(4) |
である。進行波になるように、
を決めればよい。
を進行波
と仮定すると、式(3)から
となる。この式を使って、
を求めることにする。
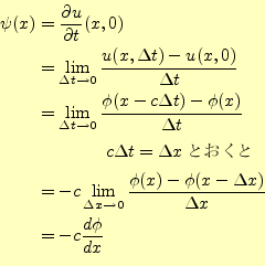
の定義よ
り、
となる。進行波にするためには、
は
の導関数ににすればよいの
である。
念のため言っておくが、後進波にするためには
 |
(7) |
とすればよい。
ホームページ: Yamamoto's laboratory
著者: 山本昌志
Yamamoto Masashi
平成19年8月21日