2 ガウス消去法と後退代入

ガウス消去法とガウス・ジョルダン法は単純で、皆さんが今まで連立1次方程 式を計算してきた方法と同じです。

ガウス消去法というのは、連立方程式 (4)を次にように変形させて、解く方法です。

\begin{equation*}\begin{aligned}\begin{pmatrix}a_{11}^\prime & a_{12}^\prime & a...
... \\ b_3^\prime \\ \vdots\\ b_N^\prime \end{pmatrix} \end{aligned}\end{equation*}

このように式を変形する方法をガウスの消去法と言います。実際の変形方法に ついては、次のガウス・ジョルダン法とほとんど同じですので、次節を参考に してください。このように式が変形できると後は簡単で、次にように$ x_N$か ら$ x_1$まで順次計算していきます。 $ \boldsymbol{x}$の値は、

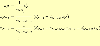
\begin{equation*}\begin{aligned}x_N&=\frac{1}{a_{NN}^\prime}b_N^\prime \\ x_{N-1...
... x_{N-1}-a_{N-2N}^\prime x_N\right)\\ &\qquad\vdots \end{aligned}\end{equation*}

と求めることができます。この式は、

$\displaystyle x_i=\frac{1}{a_{ii}^\prime}\left[ b_i^\prime-\sum_{j=i+1}^N a_{ij}^\prime x_j \right]$ (8)

とまとめることができます。この式を使って、$ N$0まで処理することを後 退代入といいます。重要なことは、後ろ$ N$から処理することです。決して、 $ 1$から処理することはできません。ガウス消去法と後退代入により連立1次方程 式は、コンピューターで容易に解くことができます。


ホームページ: Yamamoto's laboratory
著者: 山本昌志
Yamamoto Masashi
平成19年8月21日


no counter