3 教科書5.16

NANDオンリーに直す問題です。論理式を簡単にして、NANDに直すことも考えら れますが、できるだけそれを行わないで、教科書の答を導きます。

(1)

\begin{equation*}\begin{aligned}X\cdot Y\cdot Z&=\overline{\overline{X\cdot Y\cdot Z}} \end{aligned}\end{equation*}

(2)

\begin{equation*}\begin{aligned}X+Y+Z&=\overline{\overline{X+Y+Z}}\\ &=\overline{\bar{X}\cdot\bar{Y}\cdot\bar{Z}} \end{aligned}\end{equation*}

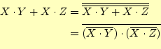
(3)

\begin{equation*}\begin{aligned}X\cdot Y+X\cdot Z&=\overline{\overline{X\cdot Y+...
...ne{(\overline{X\cdot Y})\cdot(\overline{X\cdot Z})} \end{aligned}\end{equation*}

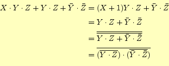
(4) 教科書の解答は間違っています。この場合は、一目見て論理式は簡単にな ると分かりますので、変形してNANDゲートに直しましょう。

\begin{equation*}\begin{aligned}X\cdot Y\cdot Z+Y\cdot Z+\bar{Y}\cdot\bar{Z} &=(...
...ne{Y\cdot Z})\cdot(\overline{\bar{Y}\cdot\bar{Z}})} \end{aligned}\end{equation*}

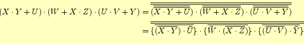
(5) 教科書の解答は間違っています。

\begin{equation*}\begin{aligned}(X\cdot Y+U)\cdot(W+X\cdot Z)\cdot(U\cdot V+Y) &...
...\overline{(\overline{U\cdot V})\cdot\bar{Y}}\} }}\\ \end{aligned}\end{equation*}

(6) 教科書の解答は間違っています。

\begin{equation*}\begin{aligned}(X\cdot Y+Z)\cdot(X\cdot Z+Y)\cdot(\bar{X}\cdot\...
...ine{(\overline{\bar{X}\cdot\bar{Y}})\cdot Z}\} }}\\ \end{aligned}\end{equation*}




ホームページ: Yamamoto's laboratory
著者: 山本昌志
Yamamoto Masashi
平成19年8月20日


no counter